18 May 2023
ДД
08:53
Денис सेवक सेवकाः Динанатх Гопал Дас
У спека 40 символов разборчивых в строке как ни крути... Этого для док. оборота не достаточно.
👎
MS
W
08:53
Winni
In reply to this message
У меня была электроника какая-то популярная, все было норм
ДД
08:54
Денис सेवक सेवकाः Динанатх Гопал Дас
In reply to this message
Вопрос не в электронике а в количестве символов в строке.. Можно сказать в разрешении экрана...
W
08:55
Winni
In reply to this message
Для старых телеков это было норм! Выше уже ничего не разобрать же! Я пользовал японский 14 Акай ☝️😉
ДД
08:56
Денис सेवक सेवकाः Динанатх Гопал Дас
In reply to this message
Ерунда это. У меня вектор работал с горизонтом 51 усцт в 90х, прекрасно 512х256 работало без проблем...
W
08:57
Winni
In reply to this message
Возможно, но мой 14 дюймовый Акай был маловат
08:58
А ч/б электронику, не колокольчик, но подобный ящик с бп внутри продал
ДД
08:58
Денис सेवक सेवकाः Динанатх Гопал Дас
Вектор с дисководом вообще почти постоянно в 512х256 работает, ибо все CP/M работают в таком режиме.
👎
MS
W
09:01
Winni
Ну и ладно, вот я помню Юдин рассказывал, взял аналог Специалиста Лик и сидел сам все на него писал.. не было ничего на него. Я тоже смотел на него, красивый такой. В итоге взял БК и но проблем ☝️😉
09:02
Вектор тоже самое думаю, прям 1 в 1 😂😂😂
ДД
09:05
Денис सेवक सेवकाः Динанатх Гопал Дас
Да, вектор призван развивать личность в направлении электроники и программирования, в моей жизни он сиграл огромную роль! А игры - это зло )))
09:06
И поддержка кстати тоже... Все что делает за тебя поддержка - воруеет твои знания и умния ))) мое мнение.
r
09:14
reddie
In reply to this message
жаловались все, КРОМЕ узкого круго демоделов-пентагонщиков. избранные решили, что их модель - вершина цивилизации, и стали клепать демки, выбирающие все такты под ноль. Пентагон лишь один из десятков (если не сотен) клонов, и единственный (вроде) безвейтовый. Называть это стандартом для всех я бы не стал
👍
MS
W
09:15
Winni
In reply to this message
Тоже самое Спек и IBM PC
r
09:16
reddie
In reply to this message
вот да, и БК, и Вектор, и многие другие советские компы предоставляли режимы с разрешением 512 и выше по горизонтали, хорошо подходящие для текстов и прочих неигровых задач. у спектрума же гвоздями прибитое 256х192 и выкручивайся как хочешь
👍
ДД
W
10:05
Winni
In reply to this message
Ничего страшного! Зато все компенсируется огромнейшей библиотекой, наверное самой большой из всех подобных! 😉
10:06
И да, Evo лишена этого недостатка 😉
r
10:07
reddie
In reply to this message
глазоломный 3х4 шрифт для 64 символов в строке никакой бмблиотекой не перебьешь... )
👍
ДД
W
10:09
Winni
In reply to this message
Кыш-кыш! Все там хорошо! Самый популярный комп в истории! 😉
r
10:11
reddie
все познается в сравнении ... имей бы я выбор между, скажем, спектрумом и коммодором/амстрадом/мсх - еще неизвестно, что бы выбрал. речь не о библиотеке софта, а про графо/звуковые возможности
ДД
10:15
Денис सेवक सेवकाः Динанатх Гопал Дас
In reply to this message
Я бы сказал спек был лучшей игровой приставкой своего времени... Признаков компьютера в нем было маловато .
10:15
И библиотека его это подтверждает на 100%
VD
10:15
Vsevolod Dziuba-Tigrov
In reply to this message
чисто технически так нет
r
10:16
reddie
In reply to this message
причем самому Синклеру, если судить по инфе в сети, это не нравилось
ДД
10:16
Денис सेवक सेवकाः Динанатх Гопал Дас
In reply to this message
А побиблиотеке 100%..
VD
10:17
Vsevolod Dziuba-Tigrov
In reply to this message
Это правда, но за это вас бы лично задушил ныне покойный сэр Клайв Синклер
ДД
10:18
Денис सेवक सेवकाः Динанатх Гопал Дас
In reply to this message
Это его личные проблемы )))
r
10:18
reddie
море игр для него - следствие дешевизны компа, то бишь распространенности. за что расплачивались жуткой клавиатурой (резинкой) и плохим рф-видеовыходом, это первая 48к модель имеется в виду
VD
10:19
Vsevolod Dziuba-Tigrov
Ну резинка лучше мембранки)
r
10:19
reddie
обе фигня)
10:21
кто не в теме - пульт от любого телевизора/тв-приставки, как правило, именно с такой резиновой клавой
10:21
бывают с пластиковой
ДД
10:21
Денис सेवक सेवकाः Динанатх Гопал Дас
Была бы моя воля я бы вообще спек и иже с ними запретил в СССР. Тогда возможно индустрия софта и советских пк совсем по другому развивалась бы...А так, поток программ написанных почти за 10 лет и клоны из отходов все испортили...
VD
10:21
Vsevolod Dziuba-Tigrov
ну так её хоть можно ощупать
10:22
а мембранку нефига
10:22
In reply to this message
обсуждали не в этом дело
r
10:23
reddie
In reply to this message
с другой стороны, это плохая идея (все запретить, всех раскулачиьь). отечественные просто не выдержали конкуренции, вот в чем пкчальная суть
ДД
10:23
Денис सेवक सेवकाः Динанатх Гопал Дас
In reply to this message
Да понятно не только в этом. Причин больше. Но и этот факт сыграл не последнюю роль.
VD
10:23
Vsevolod Dziuba-Tigrov
дело в отсутствии индустрии софта. То есть кроме единичных предприятий и энтузиастов софта не было нигде
10:24
ну и иностранный
r
10:25
reddie
Тут ранее уже вроде была дискуссия на эту тему (или в БК-группе, не помню). Суть: без оплачиваемой разработки ПО, тех же игр, не будет этих самых игр
VD
10:25
Vsevolod Dziuba-Tigrov
как и компьютеры
ДД
10:25
Денис सेवक सेवकाः Динанатх Гопал Дас
In reply to this message
Конкуренции не было в СССР. Была плановая экономика. И она вышла бы на необходимый уровень если бы ее не задушили вместе с СССР.
VD
10:26
Vsevolod Dziuba-Tigrov
In reply to this message
не все так просто при плановой экономике тоже можно было достичь насыщения рынка, вопрос в том что он на момент 80-х уже не работала
r
10:26
reddie
In reply to this message
но что мешало взять пример и делать свое, не уступающее западному?
10:27
не изобретая велосипед, имею в виду
ДД
10:28
Денис सेवक सेवकाः Динанатх Гопал Дас
Просто это разные миры. Кап. И Соц.
r
10:30
reddie
в итоге соц. модель загнулась, как видим. не углубляясь в политику
VD
10:33
Vsevolod Dziuba-Tigrov
если вы знаете в 1985 году была внедрена единая цифровая система планирования ОГАС. Проблема в том, что на момент её внедрения экономика уже шла в штопр и её вытащить было нельзя
G
ДД
10:34
Денис सेवक सेवकाः Динанатх Гопал Дас
In reply to this message
Мешало то, что кап. мир для достижения целей использовали использует подлые и беспредельные средства. А кто победил мы ещепосмотрим . Китай первая экономика мира. У кап. Строя есть один минус, без грабежа, то есть неправомерного отбора ресурсов из внеон не может развиваться. И вот сейчас настало время когда ресурсов из вне не хватает для просто стабильной работы кап. мира. А соц. мир продолжает укрепляться. Вопрос времени когда все будет соц.
r
10:34
reddie
In reply to this message
нынешний Китай и есть капитализм
10:35
потому он и развился. взяв курс на копирование чужих технологий на старте, а теперь развивает свое производство
ДД
10:35
Денис सेवक सेवकाः Динанатх Гопал Дас
In reply to this message
Совсем нет Полезные элементы кап. там есть, и не мало. Но структура и цели соц. на все 100%.
10:36
Тут надо понять что цель у строя и в чем отличие.. Основные направления...
VD
10:38
Vsevolod Dziuba-Tigrov
In reply to this message
спекуляция, классовое неравенство, увеличение личного капитала, эксплуатация и навязывание спроса
🔥
ДД
r
10:40
reddie
ресурсов (если про полезные ископаемые) у нас полно, но почему-то первая экономика - Китай =)
10:40
использующий эти наши ресурсы
VD
10:40
Vsevolod Dziuba-Tigrov
экономика растет тогда когда есть грамотный контроль и распределение ресурсов
10:41
у нас ими банально барыжат
10:41
спекулируют
10:41
продают за границу
r
10:41
reddie
увы, но да
VD
10:41
Vsevolod Dziuba-Tigrov
а вот если бы как японцы или китайцы или как в период 50-х в СССР все это шло в экономику
10:42
и была монополия государственная на ресурсы то уже бы пошли дела вверх
10:42
причем под монополией имею ввиду вклад ресурсов в свою экономику
10:42
а не продажу за рубеж как сейчас
r
10:43
reddie
ладно бы технологии развивались на полученные от продаж деньги - дак ничего не делается
10:44
тупо в карман
10:44
в итоге отрезали трубу, как сейчас - и все. назад в каменный век
VD
10:44
Vsevolod Dziuba-Tigrov
ну и ещё тот факт что все разработки были похоронены
10:46
разве в авиапарках рф подавляющее большинство самолетов Яколвевы, Туполевы и Ильюшины?
r
10:47
reddie
про это и речь, все импротное
VD
10:47
Vsevolod Dziuba-Tigrov
Разве компьютеры у нас работают на Архитектурах БЭСМ-6, Электроника НЦ, КРОНОС или тот же Эльбрус?
10:47
И так можно продолжать под каждым пунктом
10:48
И чтоб даже мысли такого не было собираются запретить социализм и коммунизм
r
10:50
reddie
коммунизм уже хотели запретить в 90-х, но огранились сносом памятников и переименованием городов)
10:52
В общем, можно продолжать до бесконечности про "как все плохо", но чат все же про Вектор и ретро-тематику
🔥
MS
VD
VD
10:53
Vsevolod Dziuba-Tigrov
In reply to this message
Есть новости по Турбовектору?
r
10:54
reddie
In reply to this message
проект-то хороший, но широкой поддержки, каа вижу, не нашел
VD
10:54
Vsevolod Dziuba-Tigrov
обидно
10:54
хотя может его просто ещё не раскрутили
r
10:56
reddie
я бы сравнил эту ситуацию с ZX-Evolution в спектрумах: современный клон, более мощный, с обратной совместимостью, но для части ретроградов это "уже не спектрум"
10:57
причем в нвнешних реалиях собрать/купить новодел (турбоВектор или Эву) выйдет даже дешевле, чем оригинал
А
10:57
Алексей Шевцов
Добрый день. Господа, подскажите, у кого есть техническая информация по формату дискет CP/M для Вектора? И ещё, если есть технические параметры обмена данными с контролёром дисковода? Где можно такое посмотреть?
r
10:58
reddie
In reply to this message
речь о физической разметке или именно ыайловой системе?
А
11:02
Алексей Шевцов
In reply to this message
Суть проблемы. Купил для Вектора эмулятор дисковода Gotek. Прошил его последней версией прошивки FlashFloppy. Теперь нужно написать к ней 2 конфигурационных файла FF/CFG и IMG.CFG, в которых указываются технические параметры формата дискеты и обмена с контролером.
Вот ищу эту информацию, чтобы подключить образы дискет.
VD
11:16
Vsevolod Dziuba-Tigrov
In reply to this message
А NEXT получается ещё спектрум... Логика конечно железная
r
11:16
reddie
In reply to this message
ясно, значит речь о физической разметке диска. если на Векторе не лепили отсебятину - пойдут стандартные значение от CP/M для других компов
А
11:17
Алексей Шевцов
In reply to this message
От каких?
r
11:18
reddie
In reply to this message
вот например для Ориона статья на эту тему http://rdk.regionsv.ru/orion128-soft-cpm80-sp-club-files.htm
А
11:18
Алексей Шевцов
От Ориона пробовал - не подходит. Дискету видит, формат не тот...
r
11:19
reddie
хотя местами там вранье
11:19
скажем про "Например TEAC (обычный, на 720) позволяет записывать не 5, а 7 однокилобайтовых секторов на дорожку"
11:19
любой сведущий знает, что емкость дорожки - 6300+ байт
11:20
туда физически не уместить 7кб хоть секторов, хоть вообще
11:22
In reply to this message
его хотя бы в "оригинальный" корпус с клавой уместили)
VD
11:52
Vsevolod Dziuba-Tigrov
In reply to this message
что мешает тоже самое сделать с Вектором?
MS
11:57
Mike Sh
Расскажите, какие параметры ТВ-сигнала у Вектора? Какой пиксель-клок, частота кадров (точная), количество срок в кадре, ширина левого/правого бордюра, верхнего/нижнего?
11:58
Хочу сравнить его видеорежим с аналогичным у Профи (который почему-то 512х240, а не на 256, вот, ищу причины, почему так могли сделать тогда).
12:00
И ещё можно подумать, реально ли сделать для Эвы конфу "Вектор 06Ц". Профи так повторить не смогли, ибо у него пиксель-клок 12 МГц, а не 14.
NZ
12:11
Nikita Zimin
Возможно, ответы на это есть тут - https://github.com/MiSTer-devel/Vector-06C_MiSTer
ДД
14:45
Денис सेवक सेवकाः Динанатх Гопал Дас
Вот реклама которая многое изменила в моей жизни... https://youtu.be/HvJEA3JtCec
Я где то натыкался на нее в тубе, но сегодня искал - искал... и не нашел, решил залить еще раз,.. ))
Именно после того как я увидел эту реклаиму на живом векторе у друга - я все понял )))
BF
ВП
r
14:59
reddie
In reply to this message
да, для Бейсика неплохо сделано. особенно распараллеливание музыки и всего остального =) понятно, что в генератор закинул данные, и он играет себе сам (навроде AY), но вымерять каждую ноту и параллельно еще рисовать на экране уже похитрее будет
🔥
ДД
MS
15:52
Mike Sh
Удивительно только, что такой мощный экран с 256-ю цветами обслуживается таким тормозным процом 8080, которому место в текстовой РКшке максимум...
15:52
Да и памяти мало для такого экрана. Поэтому и софта под Вектор почти нет - его не всегда возможно вообще сделать.
r
16:02
reddie
In reply to this message
одновременно (без программных трюков) цветов максимум 16, либо 2-4-8 на выбор кодера. каждая степень двойки жрет 8кб плоскость. монохромные, вернее, двухцветные игры уже примерно на уровне спектрумов могут шевелиться. с другой стороны, необязательно перерисовывать весь экран в игре, примеров динамичных игрушек полно. плюс у Вектора, как и у БК, есть аппаратный вертикальный скролл, в ряде случаев позволяющий переплюнуть тот же спектрум по отрисовке цельного экрана
MS
16:04
Mike Sh
In reply to this message
Не видел ни одной Векторной игры, сопоставимой по привлекательности с хорошими спековскими...
r
16:04
reddie
вот отличный пример динамической игры с использованием скролла и кучи цветов. спектрум скромно курит в сторонке https://www.youtube.com/watch?v=q2wLNbjbguE
👍
DV
16:04
In reply to this message
см. выше
MS
16:05
Mike Sh
Это новодел...
r
16:05
reddie
ну начинается
16:05
что, в новоделе железо усилилось?))
MS
16:06
Mike Sh
Игра крутая, конечно. Согласен, выглядит лучше, чем на Спеке. Но таких мало всё-таки почему-то.
16:08
Если бы ещё кто-то помог задизайнить _внешнюю_ плату согласования/коррекции RGB-выхода для Музея, было бы вообще отлично. Дорабатывать каждую машину всё-таки неправильно для Музея, ибо во-первых, теряется история вопроса, а во-вторых, накладно и чревато.
r
16:08
reddie
на спектрумовские игры первых годов, если смотреть объективно, тоже без слез не взглянешь. нормальные, качественные по графике и остальному, пошли уже под конец его "эпохи" на западе
16:09
In reply to this message
ну не знаю... нормальный конвертер навроде OSSC или тому подобного разве не жует Векторовский сигнал?
NZ
16:13
Nikita Zimin
In reply to this message
Так прицепите квази-диск
👍
ДД
MS
16:14
Mike Sh
In reply to this message
Я не о современной эпохе, а о "той". Спек-128 был тогда уже мейнстримом для многих.
16:14
In reply to this message
Сам не пробовал, но говорят, что не понимает, из-за кривой длительности синхронизации. А ещё там RGB надо инвертировать-подтягивать.
NZ
16:15
Nikita Zimin
Ну и квази-диск не вчера появился. А сравнивать Вектор и Спек как-то смешно — два разных мира с разными законами
MS
16:15
Mike Sh
Делали какую-то непростую плату ТвДоктор, но без опыта схемотехники её не соберёшь.
16:15
In reply to this message
Это верно.
A
16:25
AKATLA
In reply to this message
Что значит - без опыта? 😎
16:26
In reply to this message
В то воемя у меня мэйнстримом была Электроника 60.
ДД
16:27
Денис सेवक सेवकाः Динанатх Гопал Дас
In reply to this message
На счет этого я уже писал... Вектор не аутентичен если в нем нет переделок. Доработок для вектора было много, встраеваемых девайсов, ПЗУ, часов реального времени и прочей мелочевкм, и если к вам попадает вектор дез переделок - это тот вектор, который много дет пролежал на антрисолях, которым не пользовались совсем. Рабочий вектор всегда был перепаеваем, модернизируем и т.д. Именно этот факт выделял продвинутого пользователя вектора, обычно он был и электронщиком и программистом, и от части дизайнером еще ))) а не только специалистом по усилию, которое нужно прилагать к клавишам или джойстику в играх...
🔥
SM
А
A
16:30
In reply to this message
320 к в целом не мало.. Квазидиск разработан вместе с вектором,и в целом был в доступе всегда, и в магазинах и на радиорынках, более того было несколько модификаций...
16:33
In reply to this message
Вектор был 64 + квазидиск, то есть 320 к. Это было с момента разработки, то есть с 1986 года. и среди продвинутых пользователей эта штука была вторым, что покупается после покупки Вектора... А третья - контроллер дисковода, дисковод и ПЗУ загрузчика... Без всего этого вектор как игровая приставка просто...
👍
MS
16:34
Ну поправка только на то, что Вектор в производство пошел массово только в 1988 году.... А квазидиски освоили чуть позже, и массово их в основном радиоюбители делали и на радиорынках продавали.
r
16:34
reddie
...причем упомянутый Спектрум так и застрял на 128К без квазидисков)) отечественные клоны с 256-512-1024К были, но реальное применение этой памяти было одно: буфер для удобного копирования дискет на одном приводе (сокращалось диджейство с флопом)
16:35
In reply to this message
в 88 может?
ДД
16:38
Денис सेवक सेवकाः Динанатх Гопал Дас
In reply to this message
Да, пардон, в 1988 году запсктили производство. но из всех кторые я видел - самые старые были 1989 года, Тем не менее, официальные данные говорят о 1988 г.
r
16:42
reddie
комп получился неплохой, но не успел стать популярным, увы. из всех советских компов средне-начального уровня у Вектора самая богатая графика и сносные музыкальные возможности (хотя можно и AY подцепить при желании, тогда совсем хорошо будет)
16:43
плюс распространен был, думаю, как и водилось тогда, примерно в регионах производства. те же БК активно разошлись в Казани, Москве и других местах, где были заводы
MS
17:29
Mike Sh
In reply to this message
Про память на спеке - не совсем. Был ещё Профи, до 1 МБ, и там часть доп. памяти использовалась текстовым редактором,, да и другим софтом (была даже оболочка Windows и к ней музыкальный плеер для Ковокса и графический редактор Grand Croix).
М
20:45
Михаил Алещенко
In reply to this message
ДА . И я уже сГотеком маюсь почти месяц. Читать читает образы. А писать не хочет.
А
22:34
Алексей Шевцов
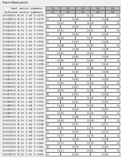
Да, с образами я разобрался. Но та же проблема - не хочет удалять файлы и записывать новые. Думаю, что проблему нужно искать в двух местах. Первая - тайминги. Ещё в 90-е, когда я собирал контролёры дисководов сталкивался с этой проблемой - нужно было подбирать резистор и конденсатор на плате контроллера, которые определяли задержку записи от шага головки. Тут в конфигурационных файлах есть 2 параметра - один настраивает двигатель, другой задержку записи. Как подобрать эти параметры не перебирая их в тупую - не знаю...
Второй момент - чередование секторов. Оно тоже должно быть увязано с таймингами. Но думаю, что этот параметр не должен влиять на запись.
Еще может влиять размер образа в байтах. Если его неправильно указать, то при записи возможно неверно будет рассчитываться смещение. Так же я не нашёл в параметрах где настраивается количество секторов под каталог и под системные дорожки. Непонятно из каких соображений эмулятор их определяет.
22:39
22:39
22:39
Это посекторная карта дискеты Вектора.
М
22:40
Михаил Алещенко
Версия прошивки 3.39 ?
А
22:40
Алексей Шевцов
In reply to this message
Да.
22:41
22:41
Это параметры дискеты Вектора.
22:42
При попытке записи выдаётся сообщение - ошибка позиционирования.
М
22:43
Михаил Алещенко
А у меня директорий портит
А
22:44
Алексей Шевцов
Эта ошибка возникает в дух случаях.
1 - когда головка за выделенное время не встала в нужный сектор и не прошла запись данных (т.е. дисковод не успел сообщить о завершении операции)
2- неверное чередование секторов, дорожек или их количества, а также расположения на дискете.
М
22:46
Михаил Алещенко
Со смещениями я игрался. Н перебрать их не просто. Как угадать.
А
22:46
Алексей Шевцов
Вот-вот...
М
22:53
Михаил Алещенко
Расширение образа какое?
А
22:53
Алексей Шевцов
.hfe
М
22:54
Михаил Алещенко
То есть конвертнул?
А
22:55
Алексей Шевцов
да
М
22:57
Михаил Алещенко
Надо попытаться прописать флекс
КV
22:57
Коте (Сторож) Videogames Sematary Security Service
о. скрины из моей програмки)
А
23:15
Алексей Шевцов
In reply to this message
Вы наверное в T-34 проверяете? Да. В T-34 - портит каталоги, а в RDS - выдаёт ошибка позиционирования, но ничего не портит.
23:16
Т.е. всё-равно не понятно - толи это тайминги, толи ошибка в описании формата дискеты в файле конфигурации...
23:19
Я склоняюсь к таймингам. В RDS и в T-34 разные алгоритмы доступа к дискете, а формат дискет одинаковый. Вероятно в T-34 по таймингам эмулятор успевает что-то записать, но не до конца и портит каталог, а в RDS - видимо сначала проверка какая-то перед записью не проходит - поэтому ничего не портится.
23:48
23:52
Попробую снять дамп с реальной дискеты, а не .fdd образ в .hfe преобразовывать. Может быть это прояснит что-то.
r
23:56
reddie
In reply to this message
Вот тут да, грамотная инфа по форматам записи с самых азов. А не как выше там ссылку давал по Ориону, фантазии про 7кб на дорожку =))
19 May 2023
W
01:36
Winni
In reply to this message
Там полно всякого софта, графических редакторов, музыкальных, ассемблеров и дизассемблиров и т.д. и т.п.
👍
MS
01:37
In reply to this message
Спокойно делается AV выход, просто в обход этого RF! Тупо провод кинуть один напрямую и будет вам счастье ☝️😉
MS
01:42
Mike Sh
In reply to this message
Может, кто-то знает эти данные?
W
01:42
Winni
In reply to this message
Нет, не развивалась бы, кто мешал развивать? У нас вобще в данной теме все уныло, причём до сегодняшнего дня! Всякие Эльбрусы и т.д, не в счёт, этого крайне мало, оно недоступно. В 90-х уже стало не до этого, народ выживал и схватил, что было самое доступное, а это клоны Спектрума которые было просто делать и старые IBM PC.
01:47
In reply to this message
Конечно! Народ по фану делал большую часть или за крайне небольшие деньги. Т.к. БК было больше всего, он был везде доступен (не считая цены а 650 руб), то на нем больше всего и сделано, но там больше уровень 70-х и начала 80-х годов. Все довольно простое. На другое же больше просто делали порты с импортных компов, это проще же! Ничего не надо придумывать, просто графику перевести и код подогнать и все.
Ю
07:54
Юрий Ларин
In reply to this message
Возьмите схему ПК6128ц, там большая часть схемы видеовыхода совпадает с первым Вектором, можно запустить эмуляцию и потыкать виртуальным осцилографом, снять любые параметры:
https://github.com/ImproverX/PK-6128c
А зачем Вам столько данных?
А
09:12
Алексей Шевцов
In reply to this message
А это ваша программа - SteinBlume? Если да, то хотелось бы видеть в ней поддержку контейнера образов .hfe FlashFloppy. Сейчас дискет становится всё меньше и им на смену специально разработали аппаратные эмуляторы дисководов, где носитель флэшка. Если ваша программа сможет автоматически извлекать из этого контейнера и класть в него образы дискет кастомных форматов ретро компьютеров, то было бы очень удобно. А то сейчас приходится сначала с образами в вашей программе работать, потом конвертить .fdd в .hfe. Ав обратную сторону вообще под виндой никак...
MS
11:20
Mike Sh
In reply to this message
Я такое не умею делать... А спрашиваю для сравнения с Профи, я выше писал.
ДД
12:30
Денис सेवक सेवकाः Динанатх Гопал Дас
In reply to this message
Если подождете пока я приеду, я попробую это сделать. У меня даже вектор есть нетронутый волжский, есть идея написать ему загрузчик на 512 байт, чтоб в рт5 влез, и чтоб только с hdd и если повезет с квазидиска грузился, чтоб переделок не было, кроме замены ПЗУ на точно такую же с другой прошивкой, и заодно какой нить внешний блок сопряжения с rgb... Ну есть идея такая... Но пока до реализации дойдет.... Надеюсь ничего не поменяется.
👍
MS
SM
12:31
Surin Mikhail
а с ПУ родной загрузчик умеет грузиться?
12:31
чтобы вообще пломбы не трогать 😉
ДД
12:32
Денис सेवक सेवकाः Динанатх Гопал Дас
In reply to this message
Только с магнитофона. Там больше ничего нет.
12:34
Как вариант 256 байт с магнитофона (1 столбик) и дальше например систему с картриджа ПЗУ (ПУ разъём)... После старта системы уже видит все Девайсы, квазидиска, дисковод, ХДД, если система сама поддерживает.
SM
12:35
Surin Mikhail
не... если так, то с мафона, а дальше - уже с кваза
ДД
12:35
Денис सेवक सेवकाः Динанатх Гопал Дас
Я говорил уже, если векторами пользовались то там как минимум ПЗУ стояла 2 Кб с вектора 06ц02, на них пломб не было.
SM
12:35
Surin Mikhail
и сделать просто шуршалку в магнитофонный порт, чтобы туда этот блок закидывала, и дальше кваз
👍
MS
ДД
12:36
Денис सेवक सेवकाः Динанатх Гопал Дас
In reply to this message
С мафона система загружается 10 и более минут. А 256 байт это две секунды.
SM
12:36
Surin Mikhail
с мафона - блок один, 2 сек, только загрузчик
👍
MS
ДД
12:36
Денис सेवक सेवकाः Динанатх Гопал Дас
Кваз со стоковым загрузчиком увы тоже не работает... Только кассета.
SM
12:38
Surin Mikhail
короче как не крути, ПЗУ менять... при условии, что они в основном не в панели были, значит смысла тулить все в РТ5 нет, доработки не существены в сравнении с тем, что ПЗУ на панель вставить
ДД
12:38
Денис सेवक सेवकाः Динанатх Гопал Дас
Так что или 256 байт и картридж ПЗУ или много минут и потом система, и так после каждого сброса.
12:39
До ПЗУ 2 кб там еще штук 5 перемычек и несколько порезов. И панель. А ПЗУ рт5 можно впаять вместо стока, и будет не видно. Правда с кассеты загрузки не будет...
12:40
И вообще скорее всего в 512 байт влезет только загрузка с hdd... но это уже прогресс )))
Ю
13:09
Юрий Ларин
In reply to this message
Есть такие же микрозагрузчики и на квазидиск, и на hdd, если что. Загнать их в ПЗУ на 512 байт не проблема.
13:10
И была ещё разработка внешнего ПЗУ, которое подменяет внутреннее, даже без вскрытия Вектора.
👍
MS
r
13:25
reddie
как вариант - загонять стартовый загрузчик с "магнитофона" на МК каком-нибудь. и платка небольшая, и поменять загрузчик недолго
SM
13:25
Surin Mikhail
In reply to this message
я про это и говорю. МК пожужжала в порт, пошли грузиться
ДД
14:22
Денис सेवक सेवकाः Динанатх Гопал Дас
In reply to this message
Это если только в разъём ВУ, и то пока не очень понимаю как...
14:25
In reply to this message
А есть исходники?
У меня чуть другой план, переработать тимсофтовский загрузчик, который я уже распотрошил, и оставить как водится картинку со столбиками, и загрузчик с hdd, а если поместится то и с квазидиска... Если не поместится, то в целом по скорости не отличается кваз и HDD. Единственное что смущает, это невозможность понастальгировать лицезрея загрузку с кассеты...
ВК
16:33
Владимир Кузнецов
In reply to this message
Всё на этапе написания ОС.
Ю
17:01
Юрий Ларин
In reply to this message
На zx-pk все выкладывал с исходниками, если не сможете там найти, то поищу ссылку...
🔥
ДД
17:12
In reply to this message
Вот в этой теме рассказано, как, даже два варианта схем есть:
https://zx-pk.ru/threads/32321-vektor-06ts-vneshnee-pzu-na-shine-quot-vu-quot.html?p=1158838&viewfull=1#post1158838
🔥
ДД
17:14
In reply to this message
Распотрашённый, исправленный и улучшенный вариант тимсофтовского загрузчика на 32кб, если что:
https://github.com/ImproverX/BOOTROM
🔥
ДД
17:19
Загрузчик с квазидиска в 1 блок магнитофона, с исходниками:
https://zx-pk.ru/threads/29342-novyj-staryj-kvazidisk.html?p=1140322&viewfull=1#post1140322
🔥
ДД
17:23
🔥
ДД
ДД
17:30
Денис सेवक सेवकाः Динанатх Гопал Дас
In reply to this message
Да, интересная идея, пробежался, как я и думал, ВУ. Почитаю подробнее. Спасибо за Ваши труды !!!
🤓
Ю
ДД
18:28
Денис सेवक सेवकाः Динанатх Гопал Дас
👍
Ю
🔥
ВП
18:29
👍
Ю
🔥
ВП
18:29
И по ныне актуальна.... В целом, основные элементы управления Вектором прекрасно описаны )
Ю
22:28
Юрий Ларин
In reply to this message
Кстати, и это тоже есть -- давно уже пользуюсь таким плеером на ардуине:
https://github.com/ImproverX/RW-player
22:34
При желании там можно выкинуть всё лишнее (экран, часы и флешку), чисто загрузчик на 1 блок легко там поместится.
20 May 2023
ДД
06:50
Денис सेवक सेवकाः Динанатх Гопал Дас
In reply to this message
Как теоретический вариант, выкинуть из плиса мультикарты 2.0 почти все связанное с флопом, и всунуть туда эту схемку с внешним пзу. На сколько я понимаю, схемка не работает с квази диском... Можно там же продумать некоторый механизм, который включает квазидиск сразу после полной загрузки ПЗУ в память. Ну и на счет флопа, было бы хорошо реализовать некоторый механизм, способный выдавать себя за флоповод с дискетой, при этом чтобы дискету этот механизхм брал с того же IDE который и как IDE HDD используется. Это минмизировало бы потребность в флопе совсем, ибо она на данный момент совсем небольшая, и есть только в случае с несколькими демками и с несколькими операционными системами, которыми кто то еще пользуется. Все что я тут написал чисто теоретически... Пока не думаю этим заниматья. Но девайс получился бы очнень неплохим, и в совокупе с конвертором видео вектора в нормальный RGB позволил бы не открывать Вектор.
r
07:04
reddie
In reply to this message
Флоповод с дискетой это ж Готек)
Ю
07:20
Юрий Ларин
In reply to this message
Почему Вы решили, что схема не будет работать с квазидиском? Хотя я не проверял, но должна работать. Но не одновременно, естественно, т.е. при подключённом внешнем ПЗУ чтение из него и из КД не должно пересекаться по адресам, а в остальном ограничений нет.
ДД
07:29
Денис सेवक सेवकाः Динанатх Гопал Дас
In reply to this message
Прочитал на форуме...
Ю
07:31
Юрий Ларин
In reply to this message
Возможно я что-то подзабыл... Но там конструкция примерно как у КД, не считая схемы включения, а два КД работают нормально.
👍
ДД
ДД
07:34
Денис सेवक सेवकाः Динанатх Гопал Дас
In reply to this message
От вектора до информации которая нужна системе целый ряд ненужного - контроллер дисковода, ВГ93, контроллер готека, контроллер SD карты.... Все это не нужно совершенно. Все это можно тупо выкинуть, оставив какой ньть контроллер недорогой, типа Blackpill который будет получать запрос от вектора, по запросу вычитывать данные непосредственно с IDE и отдавать вектору. Проблем ноль, блэкпил стоит 300 рублей, а при реальном контроллере плис под 1000 выходит и ВГ93 под 1000, плюс готек под 3 000... И зачем весь этот огород ?
Ю
07:56
Юрий Ларин
In reply to this message
Это тоже есть давно, и называется ide-контроллер, Вектор с ним умеет работать. 🙂
ДД
08:00
Денис सेवक सेवकाः Динанатх Гопал Дас
In reply to this message
Нене... известный факт, что IDE контроллер не заменяет флоповод... И программы обращающиеся к флоповоду на прямую не могут работать с IDE контроллером. Устройство должно и давать вектору доступ к IDE, и в то же время притворяться дисководом, показывая одну из дискет IDE как обычный флоп.
08:02
В целом, возможно да, и контроллера не понадобится, хватит того что можно добавить в плис... При условии что из плис выкинутся ошметки флоповода, ибо в плисе больше нет свободных элементов...
08:05
То есть нужно научить IDE прикидываться флоповодом, а на место освободившееся от ВГ93 влепить модуль внешнего ПЗУ... Мультикарта будет без изменений в размерах )))
Ю
08:57
Юрий Ларин
In reply to this message
А много ли таких программ, которые работают напрямую с флоповодом? Пожалуй, >90% всех программ на Вектор не используют вообще ни флоповод, ни КД, а большинство из оставшихся работают через ДОСы, не напрямую. Скорее всего есть демки и игры, которые обращаются к флопам напрямую, но стоит ли ради десятка (пусть даже сотни) таких программ огород городить? Затраты на такой эмулятор флопика в плис не оправдают себя ни материально, ни своей полезностью, пусть лучше эти программки останутся в своей отдельной нише, с реальными флоповодами, либо в эмуляторах на ПК.
ДД
09:01
Денис सेवक सेवकाः Динанатх Гопал Дас
In reply to this message
Вот даже ради одной LYRA стоит городить огород, демк меет высочайшкю историческую ценость.... Есть и другие..
09:02
Еще вопрос, где то натыкался на дизассемблированный стоковый загрузчик вектора с подробными комментариями, вроде даже скачивал... Сейчас ищу, и н на компе ни в сети найти не могу... Может у кого то есть или ссылка или скачанный, закиньте пожалуйста.
Ю
09:03
Юрий Ларин
In reply to this message
Стоковый? Я видел в Базисе были исходники для кишинёвского на 2кб.
ДД
09:04
Денис सेवक सेवकाः Динанатх Гопал Дас
In reply to this message
Или например системы типа T34, с файл менеджером... Она ж только с дискеты работает... Поюзать интересно, Но необходим реальный флоп.. ВОт для этого и огород... Но в целом, огород - это как раз реальный флоп. А тут - горшок с кактусом небольшой....
09:05
In reply to this message
Вот помоему как раз стоковый видел где то. Именно 512... Хотя могу чо то путать.
09:16
In reply to this message
Да, там же на базисе есть и сток 512... :)
Ю
09:20
Юрий Ларин
In reply to this message
А может не стоит трогать совершенство? Пусть продолжает работать на железном флопе, по канону. 🙂
М
09:57
Михаил Алещенко
In reply to this message
А я скучаю по Т-34 и по СО. Только из за этого прикупил Готек. И пока с ним облом. В принципе с ним можно работать если запись не делать. Читает запускает. Сейчас свои закрома дискет перегоняю. Кое что нарыл чего в Базисе нет
🔥
ДД
ДД
10:20
Денис सेवक सेवकाः Динанатх Гопал Дас
In reply to this message
Все это может существовать в парралель, просто мультикарта с реальной ВГ93 и еще с флопом, или готеком даже, да и еще с плисом, который из 10 купленных хороо если один или два прошиваются без определенного не дешевого программатора обходится в достаточно суровую сумму... А избавившись от ВГ93 и применив плис по проще и по современнее (тут конечно вопрос, современные fcpga потребуют еще кучу преобразователей уровня, ибо рассчитаны на 3 в...) вполне можно сделать устройство по цене как минимум на треть дешевле, и гораздо удобнее.
r
12:13
reddie
In reply to this message
тут проблема глубже: заменить прямое программирование ВГ93 чем-то другим значит отсечь часть софта, работающего напрямую с ВГ. те самые демки, да. на спектрумах та же самая проблема: есть софт, работающий только с реальными флопом и контроллером, никакие эмуляторы с ним не справляются
12:15
то, что общается с флопом через стандартные функции системы - замещается без проблем. КАКАВЕ примерно на этом и выезжает, он же не эмулирует дисковод стопроцентно
ДД
12:19
Денис सेवक सेवकाः Динанатх Гопал Дас
In reply to this message
Опыт УКНЦ показывает другое... в "KAKAVE" 1801ВП1-128 полностью заменена контроллером black pill. И кроме буквально 3-4 программ с защитой, использующей технические области диска - все отлично работает. Причем там никакой подгонки не было, блэкпил работает на максимальной скорости, какую только может осилить.
12:19
In reply to this message
да, я об этом же.
r
12:20
reddie
In reply to this message
ну я пока не добрался прям конкретно его протестировать)) потом помучаю
12:22
кстати, другой эмуль контроллера под УКНЦ на сд-картах работает иначе, там замещается код работы с родным контроллером, судя из описания. вот на нем что-либо "нестандартное" вообще не поедет
12:22
если в Векторе большинство софта грузит/пишет через стандартные точки - почему б не заменить
12:23
а для некоторой части критичных программ придется по старинке, ВГ93 и флоп/готек
MS
20:45
Mike Sh
Слышал, что уже смогли реализовать ВГ93 в ПЛИСе. Попробую выяснить, где и как это.
21:01
если кратко: смогли, но есть нюансы
MS
21:01
Mike Sh
Так это программная эмуляция, а я про ПЛИС.
r
21:01
reddie
а. насчет плис не скажу
ДД
21:27
Денис सेवक सेवकाः Динанатх Гопал Дас
У вектора походу проще, контроллером дисковода может прикинуться контроллер HDD и подать на выход "контроллера FDD" данные какой либо, возможно фиксированной а возможно вбираемой дискетой с HDD.. Тут есть оин минус, загрузочным сектором такой дискеты будет являться загрузочный сектор HDD, по идее, и чтобы например поиграться с T-34 - туда нада будет прописать систему, которая HDD не увидит .... В целом исправляется просто, прицепил другую дискету на которой есть видящая HDD ось и запустил... Либо стартанул из ПЗУ... Но все равно не очень удобно. Но если речь идет о софте который напрямую к дискете обращается - там проблем нет, какой то образ с HDD претваряется дискетой, и все работает. Думаю такой способ можно будет в том же ПЛИС в мультикарте реализовать. В общем, тоже конечно способ не самый простой... Но если реализовать, будет существенное удешевление конструкции.
21 May 2023
MS
02:37
Mike Sh
А не стоит ли рассмотреть вместо ПЛИС программную эмуляцию на какой-нибудь RPi Pico? Хватит памяти и производительности? Это будет проще развивать, стоит недорого (300 - 500 р.), а скоро и Pico W станет также недорогой, и можно будет облачное решение сделать - брать образы дискет прямо из интернета.
ДД
04:28
Денис सेवक सेवकाः Динанатх Гопал Дас
In reply to this message
Я хочу упростить и удешевить конструкцию, а в случае с еще одним контроллером получится скорее всего усложнить и удорожать, стоимость контроллера заменит стоимость вг93, добавится sd slot и sd карта, и практически аутентичное устройство из 90х превратится в компьютер гораздо мощнее самого Вектора. Фишка Мультикарты в том, что это практически те же Девайсы, которые к вектору подключали в 90е. Ну только мелкая логика в ПЛИС ушла и 32 ру5 заменено одной статикой. По мне так лучше тогда как есть оставить, по стоимости не изменится, а аутентичность останется.
04:32
Там еще фишка в том, что большую часть Плис занимает контроллер дисковода... И если его от туда выкинуть и заменить несложным костылём к контроллеру HDD то появится возможность логику внешнего ПЗУ запихать в плис, и только само ПЗУ w27c512 стало бы на место вг93 на панель.
04:34
Но это нужно еще подумать и прикинуть, на сколько несложным будет костыль и не потребует ли он каких либо доп. устройств вне плис.
A
06:11
Alexander
In reply to this message
Глядя на проект с ардуинкой такая же мысль была, только взять Esp32.
A
06:24
AKATLA
Я тут наткнулся на один факт что с FPGA становиться все туже и туже. Сейчас как раз озаботился этой проблемой. С софтом разработчика - по части лицензий и работоспособности все грустно.
ДД
06:27
Денис सेवक सेवकाः Динанатх Гопал Дас
In reply to this message
Это да... Но пока есть запасы fcpga, тех которые в мультикарте используются. И софт который к ним прилагается работал еще под вин. 3.11..
06:37
In reply to this message
Мультикарта - один из немногих (если не единственный) проектов для ретро машинок, который по сути является точной аутентичной копией устройств, которые подключали к Вектору 30 лет назад. Возможно и появится когда нибудь устройство на контроллере для вектора, но это будет отдельный девайс, с другими параметрами и возможностями, это будет не продолжение combodeviсе и мультикарты.
A
06:38
Alexander
Не, само собой пихать еспху не предлагаю вместо :)
06:39
Идей много, а смыла иногда мало, ещё меньше времени :)
W
06:41
Winni
In reply to this message
Ага! )
06:43
Мне вобше нравится как все реализовано на том же БК, воткнул SMK512 с только CF картой и все, больше ничего не надо!
A
07:01
Alexander
Не жирно ль cfки для таких вещей использовать? :)
L
08:02
LeoN
In reply to this message
Ты абсолютно прав, именно так и есть.
Нашёл эту проверку, подправил на 13.0/46.0. Кажет, но автоподстройка не может корректно отработать. Такое ощущение, что не хватает нижнего предела у PLL...
👍
Ю
r
09:26
reddie
In reply to this message
а чем жирна цф? это ж расходник, по сути
09:28
всяко лучше, чем железный винт
A
09:28
Alexander
In reply to this message
Дорохобохато, они ж скоростные. Кстати, как то последнее время с радаров пропали. Глянул тут ценники: 14к за 256 гиг. 2к за 8.
09:29
Я для ide2sd недавно купил флешку за 200 рублей 8 гиг :)
r
09:30
reddie
In reply to this message
а зачем такие обьемы в древних компах типа Вектора БК и прочих? можно и SD воткнуть на переходнике, не вопрос. По-моему даже прямо в слот цф переходники есть
A
09:30
Alexander
Ну дык и зачем огород? :)
r
09:31
reddie
Огород, чтобы не делать еще одну конвертацию из иде в сд интерфейс
A
09:31
Alexander
Сегодня даже 4 гига уже не вот чтоб легко найти.
09:31
In reply to this message
А sd2cf норм :)
r
09:32
reddie
софт под сд-интерфейс на Векторе есть?))
A
09:33
Alexander
Нет, на сколь я знаю. А под cf?
r
09:33
reddie
In reply to this message
цф это ж иде, под него как раз что есть.
A
09:34
Alexander
А, о как. Я чот думал это отдельный стандарт. Прям можно напрямую воткнуть и будет работать?
r
09:34
reddie
In reply to this message
ну работают же системы с жестким диском
09:34
я не о софте юзера, там отдельный воопрос
09:35
просто на уровне "ядра" так сказать стандарт иде освоен еще в 90-е на многих ретроплатформах
09:35
а под сд нужно писать заново
09:36
где-то, типа спектрума, это уже внедряется
09:38
Вот для примера (не сочтите за оффтопик) плеер MOD-файлов для Спектрума. Работает с ФАТ32 напрямую - закидываем файлы на пц на карточку и готово. Поддерживает как иде, так и сд https://m.youtube.com/watch?v=8WX-vljlrUs
👍
A
09:40
Там болтовни правда много)
09:40
Это не автор плеера потому что
РC
11:03
Роман CHRV
In reply to this message
Если че болтуну и одному из соавторов zxevo и neogs, то есь мне можно задать пару вопросов 😉
r
11:06
reddie
In reply to this message
так это хорошо) обратная связь
L
12:38
LeoN
In reply to this message
Бли-и-и-ин... "Как я зол!" "Как я зол!!!" 😡
По вертикали коэффициент масштабирования от 1.00 то 2.55, то есть байтовый регистр... А нужно ПОЗАРЕЗ ровно 3!!!
(Это моник NEC LCD1535VI, скалер M64539FP... У моника LCD1550M скалер M66111FP, и он умеет даже больше трёх: он 240 строк растра масштабит на 768 строк матрицы).

А по горизонтали не хватает разрядной сетки регистров для ТВ-развёртки.

А кто может "просветить"/проконсультировать? А что если у скалера понизить вдвое тактовую? Или повысить вдвое? Здесь нюанс именно с разрядной сеткой.
Ю
13:09
Юрий Ларин
In reply to this message
Есть ещё так называемые DiskOnModule или DOM -- карточки от 64мб прямо с разъёмами IDE, не надо никаких переходников. На али их полно.
r
13:09
reddie
In reply to this message
да что-то почитал отзывы- какое-то двоякое впечатление
Ю
13:35
Юрий Ларин
In reply to this message
В отзывах всякое пишут... У меня два таких, один на 64мб, второй на 128мб, для ПК они бесполезны, а с Вектором работают превосходно.
👍
ДД
ДД
13:41
Денис सेवक सेवकाः Динанатх Гопал Дас
In reply to this message
Вот я таких закупил много, у меня только они и есть. По этому IDE для меня в целом стандарт. У меня на 128 мб все практически, один только на 512... И еще много СF с переходниками CF-IDE... Но это часный случай, с Вектором почему то далеко не все CF работают, какие то вообще не видятся, а какие то читают но не пишут... Там определенный список размеров и производителей. Ас DOM вообще нет проблем, работают все.
👍
Ю
13:43
БОлее того, я их десятки вместе с мультикартой разослал. И везде все работает без проблем.
L
14:45
LeoN
@ImproverX, очень интересует твоё мнение по этому поводу.

https://t.me/VECTOR_06C/6291
Ю
15:03
Юрий Ларин
In reply to this message
Ну я не специалист по скалерам, тем более на таком уровне, тут моё мнение ничтожно. Могу только что-нибудь предложить исходя из аналогий, но в данном случае мне сказать нечего, сори...
ДД
15:09
Денис सेवक सेवकाः Динанатх Гопал Дас
Я вот думаю, а не круче ли было бы обследовать доступные на али современные универсальные сканеры? Ведь запасы ретро мониторов не вечны, а Скайлер таки можно использовать и с почти любой матрицей, и в любом корпусе.... Было бы круто если бы была ориентировка, что можно заказать на али соответствующее ретро машинкам.
r
15:45
reddie
In reply to this message
"обследовать все" нужен некий запас денег =)) по сути, там выбор небольшой, все универсальные продвинутые конвертеры известны
15:45
ноунэйм коробки за условных 30-50 енотов не берем
15:48
мне, как владельцу OSSC, жаловаться пока не на что: без проблем захавал и БК, и УКНЦ без обрезки и каких-то пропаданий сигнала. правда, тут писали, что с сигналом Вектора у него проблемы, но проверить (за неимением Вектора) не могу. кто-то может продемонстрировать или подтвердить, как OSSC уживается с ним?
15:48
речь о стоковом Векторе без доработок
MS
15:50
Mike Sh
Константин Айги сделал крутейший RGB-захват на ПЛИС - rgbDigger, только никому не даёт его...
КV
15:55
Коте (Сторож) Videogames Sematary Security Service
In reply to this message
он говорит, шо недоделал, переделывает. и пропал
15:56
а не. не пропал
L
16:04
LeoN
In reply to this message
Ход моих мыслей:

При VGA-строчке (31.5 кГц) внутренний счётчик натикает N. При ТВ-строчке (15.6 кГц) он натикает уже 2N. Разрядка "ужимается", и для автоподстройки уже нет такого раздолья в плюс/минус. Поэтому и подумываю о занижении такта вдвое.

Праильна мыслю? 😉
16:10
In reply to this message
Да, вот недавно проштудировал ветку на zx-pk про "народный контроллер" на RTD2662, есть открытые исходники на сях. Правда, ваще "душа не лежит" к 51-му ядру... И к сям... 😔
Заказал на али платку этого скалера, при заказе ЧЁТКО указал, что нужна платка без джамперов (выбора режима). Нет жеж, сучьи отродьи, прислали с джамперами. Открыл спор, "it's a same", и всё тут...

Там стопудово поножовщина периферии отличается...

Дык, подключил матрицу-пятнашку, выставил джампер, а в ответ - полная тишина... Мля-я-я-я-я-яди-и-и-и!!! Ещё и не рабочая... 😔
🤔
ДД
16:14
In reply to this message
Тут как бы очень важный следующий момент.

Моник напрямую: это одно преобразование (АЦП) и одно масштабирование (в скалере моника).
Моник через дополнительный скалер Гонбес/OSSC: это три преобразования (АЦП-ЦАП-АЦП) и два масштабирования... Это потеря какчества плюс таймлаг... 😔
MS
16:34
Mike Sh
In reply to this message
Там проблема, что проект полностью закрытый, и наверняка будет дорого продавать. Конечно, его право, но для сообщества это выходит как очередной OSSC.
16:35
То есть мало у кого есть, и "в количестве" в Музее не поставишь из-за цены.
16:35
А на Пико можно за 500 р. их наделать ведро.
КV
16:35
Коте (Сторож) Videogames Sematary Security Service
ну мне нужен один тока. если ценник лютый будет, то обойдусь бехолдом пока
L
16:42
LeoN
In reply to this message
Дык, при разработке/прототипировании/отладке очень такие нехилые финансовые затраты...😉
А уж трудозатраты (интеллектуальные и временнЫе) - уж тем более... 😉
16:46
In reply to this message
Опять же, хоть на ПЛИС, хоть на скалере: сия штука - лишнее звено, лишние преобразования, и лишний таймлаг... 😔
Ю
16:53
Юрий Ларин
In reply to this message
В какой-то мере я уже это сделал: скалер на 3463 работает отлично, а вот 3663 и QT526C у меня с Вектором не заработали. Но подключал я Вектор на видеовход через pal-кодек, не по RGB (VGA).
🔥
ДД
L
16:55
LeoN
In reply to this message
Лично у меня есть порыв (и мечта) сделать (универсальный) ЖК-моник для ретрокомпьютинга. Но нет финансов (на исследования/прототипирование/разработку)...
Ю
16:57
Юрий Ларин
In reply to this message
Может быть, если там он не синхронизируется с входящей частотой.
MS
16:57
Mike Sh
In reply to this message
Нужно минимум 240 Гц, чтобы движения плавные были, как на CRT.
L
16:58
LeoN
In reply to this message
Хрена се... 😳😳😳

😉
MS
16:58
Mike Sh
In reply to this message
Такие были - Сони и т.п., в формфакторе PVM, только не глубокие. На входе обычные ТВ-сигналы, как у ЭЛТ.
16:58
In reply to this message
Эффект стробоскопа необходим.
Ю
16:59
Юрий Ларин
In reply to this message
Я смотрел на этот "народный контроллер", но он не умеет работать с большими матрицами... :(
MS
16:59
Mike Sh
Иначе тиринг будет - LCD обновляет кадр последовательно, то есть в большинство моментов времени на экране одновременно часть старого и нового кадра. Чтобы этого не было, надо гасить изображение между кадрами. Если это делать на маленькой частоте, будет моргать ужасно, хуже, чем на ЭЛТ.
L
17:07
LeoN
In reply to this message
1. FullHD, разве нет?
2. Зачем в ретрокомпьютинге большие матрицы?
17:12
In reply to this message
Я вот этого вообще не понял... И особенно про гашение... 😳
MS
17:14
Mike Sh
In reply to this message
Вот тут все расписано подробно, с демонстрацией: https://www.testufo.com/
17:16
Нельзя на обычном LCD 60 Гц слушать, к примеру, чтобы белый квадратик 10х10 пикселей на черном фоне плавно летел по экрану со скоростью 600 пикселей в секунду (то есть на величину квадратика за один кадр перемещался) - будет разорванным выглядеть часто.
17:16
А на ЭЛТ все хорошо с этим, ибо изображение угасает к следующему кадру.
17:17
И мозг делает интерполяцию, домысливая плавное (математически непрерывное) движение между кадрами.
Ю
17:24
Юрий Ларин
In reply to this message
Цитата с 4pda про него:
17:27
Как итог -- он матрицы до 7 дюймов нормально поддерживает, а у меня минимум 15 есть, и с разрешением 1280х1024, которое "народный контроллер" не тянет.
L
17:38
LeoN
In reply to this message
Классные тесты. MPRT - ваще магия какая-то!!! 😉
17:43
In reply to this message
Дык, это же очевидно. "Плавно" - это не более, чем на одну дискрету (за кадр)... И мозг к этому адаптируется.
17:44
In reply to this message
Если бы так - мы бы ваще ничего не видели...
17:50
In reply to this message
Юра, ты чего? 😳
На FullHD этот скалер может и кашляет... Но вплоть до 1280х1024 он нормально жуёт. И физический размер матрицы тут не при чём... 😳

Я Юрьевич. Мой папка любил шутить: Юрии - все великие! 😉
Ю
18:00
Юрий Ларин
In reply to this message
Ну не знаю... Пару лет назад я под свои матрицы на али такой контроллер найти не смог, заказал тогда 3663.
КV
18:52
Коте (Сторож) Videogames Sematary Security Service
Про SteinBlume короче такая ситуация. Проект на данный момент закрыт. Вот. Если кто-то готов рискуя сойти с ума продолжить, то я дам исходники, но там ужас
18:53
Один дядька хотел лет 10 назад сделать билд под пингвинов. Я дал исходники и больше его не видел. Так что вот
ДД
19:34
Денис सेवक सेवकाः Динанатх Гопал Дас
In reply to this message
Главное продолжать поиски! Мне стока уже хлама поприходило с али... Тоже развитие.. И продавцов нормальных нашел, и споры научился выигрывать... И даже программаторы купил на плисы которые только определенными прогерами разлочиваются... Удачи в поисках!!! Ну и си в целом не такая уж и страшная штука.. Хотя и у самого больше к ассемблеру тяга )))
A
19:38
Alexander
In reply to this message
Выложить на гитхаб, может кто нить и возьмётся :)
19:38
А там на чем написано и с какими либами?
ДД
19:41
Денис सेवक सेवकाः Динанатх Гопал Дас
In reply to this message
Дык для ретро большие и не нужны... Ну я имею в виду для например попытки встроить матрицу в стекло кинескопа колокольчика ))) и показать миру цветной колокольчик через линзу отмытого от люминофора кинескопа )))
19:44
In reply to this message
Это какая то фантастика ))) вспомнил сразу программку на векторе с контурными крутящимися трехмерными фигурами .. На каких только мониторах я их не вертел... И везде плавно и в целом даже по интереснее чем на колокольчике )))
L
19:55
LeoN
In reply to this message
У-у-у-у-у... А та-а-а-арищь понимает толк в извращениях. 😉
NZ
20:26
Nikita Zimin
In reply to this message
А почему бы не выложить исходники просто как есть? Глядишь, кто-то и найдётся продолжить дело.
r
20:48
reddie
In reply to this message
не знаю, чего вы курите, но я со своим наметанным глазом никаких "разрывов" ни разу не видел. шлейфы от зажигающихся/тухнущих пикселей (в основном первое для LCD критично) - да, видны прекрасно. но весь кадр проявляется мгновенно, все так называемые "однофреймовые" эффекты с перемещающимися объектами плавают/двигаются без разрывов. собственно, откуда там взяться разрыву, при условии, что кадровая входного сигнала совпадает с выходной кадровой компьютера?
20:49
скажу понятнее: если бы существовали эти разрывы - изображение точно таким же образом рвалось бы в пц-играх/демках. кто-нибудь видел там разрывы? (когда vsync включен, само собой)
20:50
разрыв идет только когда отключен vsyinc
КV
20:52
Коте (Сторож) Videogames Sematary Security Service
In reply to this message
Стремненько
r
20:53
reddie
In reply to this message
эээ а какое отношение имеет к хдми-устройствам? они преобразуют в цифру и цифру же выдают в монитор. причем оссц умеет режим фуллхд, то бишь по итогу нет ни масштабирования, ни двойного преобразования
20:55
In reply to this message
говоря строго - у ЭЛТ довольно сильное послесвечение, шлейф за ярким объектов виден еще долго
Ю
23:16
Юрий Ларин
In reply to this message
Прямо супермод... А насчёт больших мониторов: в своё время Вектор подключали к телевизорам с диагональю 61см (~24 дюйма), причём такой вариант подключения был основным. 🙂
А
23:32
Алексей Шевцов
In reply to this message
Жаль...
КV
23:32
Коте (Сторож) Videogames Sematary Security Service
In reply to this message
просто надо все переписывать. там баг на баге
22 May 2023
MS
00:07
Mike Sh
In reply to this message
Вы не правы - физически нет механизма, который ты позволил монитору показать новый кадр "мгновенно" - пиксели обновляются последовательно, по мере поступления информации о цвете очередного пикселя по интерфейсу, например, HDMI/DVI. Никакого буфера размером во весь экран, где можно было бы накопить кадр и потом его как-то выдать на матрицу, в мониторе нет, да и матрица подключена к контроллеру не так, что каждый пиксель своим проводком - ножек на микросхеме не хватит. Так что пока не пришли по интерфейсу данные о новом цвете пикселя, он показывает старый. А битрейт там довольно большой, и поток идёт непрерывно, никакой мгновенной передачи кадра нет.
Ю
06:54
Юрий Ларин
In reply to this message
И да, и нет. Буфера экрана, может, и нет (в некоторых мониторах), но есть синхронизация по кадровым синхроимпульсам, новый кадр начинает отрисовываться одновременно с получаемыми из видеокарты данными, что даёт при прогрессивной развёртке отсутствие разрывов в изображении.
👍
А
r
r
07:44
reddie
In reply to this message
про это и пишу: если данные нового аадра выдаются синхронно с vsync - никаких разрывов не наблюдается. не зря же привел в пример пцшную аналогию, достаточно запустить любой бенчмарк с несколькими сотнями фпс и убедиться: при отключенном vsync изображение будет резаться на горизонтальные куски, поскольку частота обновления монитора (60 герц, как правило) гораздо ниже. но когда vsync включен - наблюдаем абсолютно плавную единую картинку с фпс, равным частоте обновления монитора
07:45
это ж базовые вещи
07:46
так и на наших ретрокомпах, только тут никто в здравом уме не перерисовывает картинку с частотой 200+ герц =)) все делается по кадровым прерываниям
MS
10:33
Mike Sh
Да вы не поняли простой вещи - пиксели на LCD обновляются последовательно, как будто на старинном футбольном табло переворачиваются таблички с буквами. В каждый момент времени (кроме небольшой паузы при переходе от конца к началу) часть пикселей уже от нового кадра, а часть - ещё от старого. Так что vsync тут ни при чем.
10:36
А на кинескопе по-другому: луч может по кадру, люминофор затухает так, что физически видна только горизонтальная полоса высотой в несколько десятков строк. Когда луч доходит до конца кадра, начинается обратный ход, и к началу рисования нового кадра экран уже почти черный, никакого остатка от старого кадра уже не видно (только слабое послесвечение, но не изображение).
10:38
А вот наш глаз (точнее, мозг) считывает изображение все целиком, так как к каждой колбочке (для 32ВТЦ) или палочке (для колокольчика) подключен свой нейрон (упрощённо). Но зато мы видим не мгновенное изготовление, а среднее значение яркости за значительный промежуток.
r
10:45
reddie
что-то ни разу еще не видел жалобы на рваное изображение на лдс-мониторах))
10:46
оно банально бы фиксировалось при сьемке камерой
MS
10:49
Mike Sh
In reply to this message
Так и фиксируется. Прочитайте по моей ссылке выше - там все демонстрируется на javascript'е прямо на экране.
r
10:50
reddie
In reply to this message
ага, программная эмуляция вымышленных вещей
👍
ДД
👎
MS
MS
10:51
Mike Sh
Есть физически только одна возможность сделать так, чтобы в момент, к примеру, посередине между vsync'ами, на экране не было верхней половины нового кадра и нижней старого - погасить экран (залить черным) перед началом прихода данных нового кадра. Но если это делать на частоте 60 Гц, будет очень сильно моргать, поэтому так не делают.
r
10:53
reddie
ну зашел я по той ссылке (если речь о https://www.testufo.com/ ) - и что я должен там увидеть? вижу три скроллбара, 60фпс, 30 и 15
MS
10:53
Mike Sh
А вот на продвинутых телевизорах Самсунг и некоторые других марок есть так называемый спорт-режим, включается через меню - для увеличения плавности перемещения футболистов и мячиков по экрану. И в этом режиме как раз моргает, только частота не 60, а больше, ибо эти телевизоры ее поддерживают и экран буферизуют.
10:54
In reply to this message
Прочитайте все, что на сайте написано, особенно про последовательное обновление экрана.
10:56
r
10:56
reddie
In reply to this message
приведенная ссылка никак не годится для подтверждения изложенных вчера теорий о "рваности" вывода, поскольку каждая полоска конкретного фпс слишком узкая (по высоте), чтобы делать какие-либо выводы. вся полоска движется абсолютно плавно. для более объективной оценки нужно полноэкранное изображение, а это можно увидеть в любом видеотесте
MS
10:56
In reply to this message
Нет никакой "полоски" на LCD!
r
10:57
reddie
In reply to this message
я про полоску с изображениями. их там три: 60, 30 и 15 фпс
MS
10:57
Mike Sh
Весь экран светится целиком! Запросил кадр, снятый спидкамерой - видите разрыв?
10:57
In reply to this message
А, понятно.
10:59
В общем, идеально плавное движение объекта по экрану на LCD на 60 Гц невозможно физически.
r
10:59
reddie
да понятно. кролик есть, просто мы его не видим)
10:59
тьфу, суслик
MS
10:59
Mike Sh
In reply to this message
Я всегда вижу разрывы и дергания при движении.
r
11:00
reddie
In reply to this message
по этой ссылке тестируется время отклика пикселей. это совершенно другая тема
MS
11:00
Mike Sh
Просто глаз всегда бегает по экрану, и дошел плащом, чтобы он увидел разрыв в нужный момент. То есть не надо его ожидать все время - есть увидел раз в несколько минут случайно, значит, он есть всегда.
11:01
In reply to this message
Кадр из этого ролика я тоже запостил, там четко виден разрыв.
r
11:01
reddie
In reply to this message
съемка камерой дает такой эффект. глазу это заметить просто невозможно
MS
11:02
Mike Sh
In reply to this message
Ещё как возможно.
r
11:02
reddie
это как снимать смартом экран CRT-телевизора. увидим жуткое моргание с переливами, хотя в реале такого нет
MS
11:02
Mike Sh
Посмотрите какой-нибудь Satisfaction на Спеке в эмуляторе и на ЭЛТ - сразу увидите разницу.
11:03
In reply to this message
Это совершенно другой эффект.
r
11:03
reddie
In reply to this message
при чем тут эмуляторы? эмулятор не может выдавать родную кадровую
11:03
берем, подключаем спектрум напрямую к жк через конвертер - где разрывы? где они?*
MS
11:04
Mike Sh
В общем, кто готов думать, тот меня понял, и проведет эксперименты, чтобы убедиться. Кто не готов - дело хозяйское, сидите дальше на LCD и верьте, что у вас все плавно :)
11:04
In reply to this message
Попробуйте - будет неровное движение, рывками. Это и есть разрывы.
r
11:04
reddie
да после фразы про эмулятор я все понял... закончим)
MS
11:05
Mike Sh
In reply to this message
Я не лично с вами общаюсь, а всем рассказываю. Мне просто очень жаль, что ещё остались ретродеи, которые не в курсе, что LCD на частотах порядка 60 Гц не в состоянии показывать плавно, как ЭЛТ.
r
11:06
reddie
как писал выше - вы первый, увидевший какие-то там разрывы
MS
11:07
Mike Sh
In reply to this message
Эмулятор - для удобства. Если у вас есть конвертер из RGB (например, OSSC) - пожалуйста, подключите Спек к LCD и посмотрите любую демку с быстрыми движениями, увидите неплавность сами.
r
11:08
reddie
In reply to this message
таким способом смотрю уже с год. никаких разрывов нет
MS
11:08
Mike Sh
Разрывы не могут не проявляться - я же объяснил, что на LCD полкадра старого, полкадра нового всегда! Не гасит он экран между кадрами.
r
11:09
reddie
есть смазывание изображения в движении, оно обусловлено технологией жк-кристаллов. но бред про "полкадра старого, полкадра нового" это не про скалеры
MS
11:09
Mike Sh
In reply to this message
А вы их воспринимаете не как разрывы, а как "движение рывками". Если вы давно не видели то же самое изображение на ЭЛТ, то просто привыкли к этому. Сравните!
11:11
In reply to this message
Это не бред, это физика. Сами подумайте - что, по-вашему, изображено физически на матрице посередине между vsync? Спид-камера как раз это показывает. Выше я запостил такой кадр, что ещё надо?
r
11:14
reddie
т.е. то, что видно только в замедленной съемке, я должен воспринимать на веру. окэй
MS
11:15
Mike Sh
Я же предлагал - посмотрите Satisfaction на ЭЛТ и на LCD, точно увидите разницу.
r
11:15
reddie
In reply to this message
еще раз: смазывание движущихся объектов на жк хорошо видно, посколько пикселы не зажигаются мгновенно. но к утверждению "половина экрана старый кадр, половина новый" это отношения не имеет
MS
11:16
Mike Sh
In reply to this message
А как тогда по-вашему, что находится на экране в момент посередине между vsync'ами? Распишите, пожалуйста.
11:18
На ЭЛТ понятно что - горизонтальная полоса изображения высотой в несколько десятков строк, затухающая книзу, посередине экрана.
r
11:38
reddie
In reply to this message
Вот не поленился, подключил железо и даже нашел диск с сатисфакцией. Хотя уже по полноэкранной анимации в буте прекрасно видно, что никаких разрывов нет, этот бут лучше сатисфакшен демонстрирует выдуманность проблемы
11:42
учитывая, что много лет сидел на элт, а к жк спектрум подключен всего лишь год, и регулярно используется для просмотра демок в таком виде - могу резюмировать, что "ни единого разрыва" (с) древний анекдот
11:43
вектористам, наверно, смешно все это читать... но налицо явное непонимание сути вещей. при подключении скалера (выдающего родную кадровую) никаких проблем с т.н. разрывами не будет
11:43
а вот если конвертер тупо выдает в монитор 60гц - естественно, там пойдут дерганья на 50фпс движении
11:50
In reply to this message
ставим видео на паузу, когда работает бут и шахматка ездит по экрану, и пытаемся увидеть разрывы =)
11:56
максимум, что удастся разглядеть - остаток изображения старого кадра на новом, НО на всем изображении сразу. скриншот для наглядности. обусловлено это, еще раз повторю, технологией жк-матриц
11:56
на этом завершаю, приношу извинения за затянувшийся оффтопик
ДД
13:28
Денис सेवक सेवकाः Динанатх Гопал Дас
In reply to this message
Так это для тех написано кто поведется и побежит новый Самсунг покупать с плавными мячиками ))) Но.... Я всегда вспоминаю в таких случаях ( когда говорят о чем то что видно только тому кто прочитал статью, и запустил какой то специальный код) фразу одного гениального человека, у которого спросили - земля плоская или круглая,... Он сказал - везде где я наступал она была плоская )))) Авторитетности этого человека в качестве путешественника не было альтернатив, он объехал земной шар 14 раз... И простой фразой в целом все сказал. Я не утверждаю что земля плоская, как бы там кто не писал, у меня нет опыта чтобы верить тем или иным писателям. Но там где я ходил - на удивление тоже земля была и есть плоская ))))
👍
r
13:31
In reply to this message
Но я ведь вижу что все красиво и плавно .... ?!?
r
13:32
reddie
In reply to this message
оно там и движется плавно (строчка в 60фпс). остальные дергаются, поскольку фпс там искусственно занижен
23 May 2023
ДД
09:59
Денис सेवक सेवकाः Динанатх Гопал Дас
Накидал загрузчик с HDD для стокового вектора, он вестит 336 байт. В РТ5 всего 512 байт... Учитывая что загрузчик с КД занимает 246 байт, то похоже что вместе с загрузчиком HDD в РТ5 он не влезет. Вряд ли получится все это оптимизировать аж на 70 байт... Но тем не менее попробовать стоит. Но в любом случае есть прошивка которая влезет в РТ5 и сможет грузиться с HDD - это уже в целом кое что. Если кому надо, пишите.
👍
АС
A
А
4
ДД
10:16
Денис सेवक सेवकाः Динанатх Гопал Дас
Можно конечно выкинуть все этикарты загрузки и кубики символизирующие 256 байт... И тогда шанс вместить сразу два загрузчика есть... Но это будет уже не то ..... Весь смысл и визитная карточка Вектора в этой карте загрузки... )))
r
10:25
reddie
In reply to this message
пора подключать демомейкеров дтя ужатия кода 😁
10:26
336+246 в теории можно зажать в 512, смотря насколько там получится оптимизировать
А
10:30
Алексей Шевцов
In reply to this message
Думаю, что можно сделать вариант и без карты загрузки. Кому кому какой понравится - тот себе и поставит. Можно просто полосочку одну сделать внизу экрана, по принципу прогресс бара и всё. Да и то только для магнитофона. Для загрузки с HDD и дисковода вообще ничего не нужно. Только картинку вывести с типом загрузки и всё.
ДД
10:31
Денис सेवक सेवकाः Динанатх Гопал Дас
In reply to this message
Это пока загрузчики, а к ним еще проверки добавятся, типа если есть КД то проверить загрузочный файл, если есть - грузить, если нет - идти делать все что уже для харда написано... общем, я по любому продолжу, но не факт что все всунется )))
10:33
In reply to this message
Не, отличительной чертой вектора всегда была таблица загрузки, без нее нет смысла, все должно выглядеть как на стоке, Ну пока такие мысли. А там, будет код закончен, и уже как его оформить - можно будет оперативно переделать все.
А
10:35
Алексей Шевцов
Да 2 варианта просто сделать и всё... картой загрузки и без неё.
ДД
10:41
Денис सेवक सेवकाः Динанатх Гопал Дас
In reply to this message
В целом достаточто было бы только HDD если бы не RDS - там горячая загрузка с КД всего 1 кб... очень быстро... И сразу в VK.
👍
РC
10:42
В общем, буд продолжать исследования.
А
10:43
Алексей Шевцов
Для RDS - да. Но многие пользуются и другими системами. Обратная совместимость должна сохраняться...
ДД
10:55
Денис सेवक सेवकाः Динанатх Гопал Дас
Есть еще одна фишка, там в грузилке КД - не загрузочный сектор грузится, а ищется файл с названием OS.COM. Вот если тут грузить тупо загрузочный сектор, то можно вроде много байтиков освободить.
ДД
12:36
Денис सेवक सेवकाः Динанатх Гопал Дас
In reply to this message
А сколько примерно можно байт сэкономить, если не искать OS,COM а по старинуе прочитать первый файл на KД, ну так как это всегда былоранее ?
Ю
13:21
Юрий Ларин
In reply to this message
Загрузчик с HDD для стокового Вектора есть на 132 байта с учётом ПП переброски его в памяти, без переброски там всего 105 байт, ссылку на исходники я давал.
13:22
In reply to this message
Примерно байт 10 -- там просто цикл по записям добавлен.
13:29
In reply to this message
105 байт на HDD + 246 байт на КД, выкинуть рисование загрузочной таблицы и блоков -- и там ещё много места останется, можно даже картинку какую-нибудь добавить...
13:38
Всё это хорошо, но вот только без загрузки с магнитофона Вектор без периферии превращается в кирпич. А загрузка с магнитофона -- это ещё плюс ~500 байт.
ДД
14:32
Денис सेवक सेवकाः Динанатх Гопал Дас
In reply to this message
Этот загрузчик с кассеты грузится с отключенным ПЗУ работает, когда дело идет с ПЗУ - там чуть сложнее, хоть ОЗУ "под ПЗУ" и доступно для записи, но читать с него до отключения ПЗУ нельзя,... И плюс подпрограммы рассчета адресов вот всей этой графики, и отрисовки отдельных элементов - вот оно все и есть.. Я вот как раз те исходники брал, которые вы публиковали, но пока они обросли разного рода очистками ОЗУ, распознаваниями УС для загрузки без очистки ОЗУ, картой загрузки, рассчетом адреса плоскости в зависимости от адреса ОЗУ, отрисовки кубиков и т.д. - вот и получилось почти 400...
14:35
In reply to this message
Да,... Сейчас вот пробую прилепить загрузку с КД туда же, получается уже 600 байт. Загрузка с КД была написана для ОЗУ, там в двух местах подменяется DATA для работы программы, прям в коде, в ПЗУ я так не могу, пришлось по 4 байта формировать в реальных адресах подпрограммы, и на них ссылаться, в общем, код растет... Вряд ли одновременно получится и КД и HDD и всю графику с картой в 512 байт вместить... Но в любом случае интересно )))
14:38
In reply to this message
Про загрузку с магнитофона я помолчу... Там еще байт 400... Тем более, я именно под мультикарту хотел ПЗУ сделать, ведь если она есть, с кассеты уж точно никто грузить не будет... Ну разве что для конвертации в файл, через какой ньть LOADROM.COM ...
Ю
15:02
Юрий Ларин
In reply to this message
Посмотрите исходники BOOTROM с гитхаба -- там все эти ньюансы учтены, самомодифицирующийся код убран и всё гарантированно работает из ПЗУ. Надо только удалить всё ненужное...
15:03
In reply to this message
Ок, если этот момент не смущает -- я не возражаю. :)
ДД
16:07
Денис सेवक सेवकाः Динанатх Гопал Дас
Есть еще идея записать на рт5 код для разархивирования и архив, и разархивировать все содержимое в адреса Е000h.. FFFFH. Это если уж совсем не возможно будет все всунуть в рт5. Как вариант, чуть по медленнее, но зато работоспособный.
ДД
17:06
Денис सेवक सेवकाः Динанатх Гопал Дас
Сожмет ли архиватор процентов на 30? Есть у кого то опыт?
r
17:13
reddie
Код, особенно плотный, он вообще не сожмет
24 May 2023
ДД
21:14
Денис सेवक सेवकाः Динанатх Гопал Дас
Без графики возможно размер довести до 500 +/- байт. Работают обе загрузки, на видео по очереди - HDD - КД - HDD - KД. С графикой и отрисовкой незаконченный вариант занимал 650 байт. То есть графика 150 байт. Ну там езе есть чего выкидывать, в целом, надеюсь, удастся еще убрать кэши с экрана и хотя бы простенькие значки разместить о том, с чего загрузка... Пока так.
👍
АС
S
A
21:16
Кстати, отричовка кубиков по ощущениям занимала гораздо больше времени чем загрузка с HDD или КД... Реально сейчас это мгновенно происходит. Если бы работал автозапуск, то возможно синий экран просто мигнул бы на очень короткое время, меньше секунды.
21:21
И вот еще... КД как оказалось достаточно сложная штука,.. Ну имею в виду, что в следствии того что там все считывание и запись через стек работает, и если нужно что то из стека программы вытащить или написать туда, то приходится постоянно регистр счетчика стека подменять... Блин, это так заморочено...
21:22
До этого так на прямую для КД ничего не писал, думал что это ну примерно как флоп или HDD.... но оказалось по сложнее таки.
25 May 2023
ДД
05:51
Денис सेवक सेवकाः Динанатх Гопал Дас
Подумал, если без графики то и синий экран не нужен. Сейчас загрузка начинается с черного экрана, в одном варианте в правом верхнем углу слева подмигивает стек белыми пикселами, во второй версии просто черный экран, и сразу мигание "рус/лат". При удержании УС или отсутствии файла os.com на КД загрузка с HDD .. Практически мгновенно. 509 байт... К сожалению пока никаких хотя бы часиков или значков устройств вставить не куда... Тем не менее, еще не закончил.
Так же есть около 400 байт, загрузчик только HDD , с 'живой" таблицей загрузки.
Ю
06:35
Юрий Ларин
In reply to this message
Думаю, ещё можно убрать отслеживание УС -- системы нет смысла грузить без очистки памяти.
ДД
06:38
Денис सेवक सेवकाः Динанатх Гопал Дас
In reply to this message
Уже убрал. Точнее теперь по УС загружается с HDD а беэ - с квазидиска.
Ю
06:40
Юрий Ларин
In reply to this message
Ок...
ДД
06:41
Денис सेवक सेवकाः Динанатх Гопал Дас
Интересная штука, теперь загрузка с HDD и с квазидиска одинаково быстрая, даже если с квазидиска грузится 1 кб ас HDD 18... И таким образом, можно на квазидиск например накатить Т72 а на HDD рдс, и всего лишь по нажатой или отжатой УС получать мгновенно ту или иную систему.
Ю
07:58
Юрий Ларин
In reply to this message
Да, а если Вектор доработать автозапуском (варианты схем есть в Вектор-Юзере), то и ещё быстрее.
ДД
08:02
Денис सेवक सेवकाः Динанатх Гопал Дас
Есть два варианта автозапуска, правый на тм2 из двух триггеров, вот его я везде ставлю, я туда промежуточную rc цепь добавил, это устраняет глюк когда перезагружаешься с светящимся рус/лат. Без rc все виснет. Есть еще один вариант на одном триггере, у меня он не заработал. Но может что то попутал... А вы какой рекомендуете?
L
17:21
LeoN
Взгляните, плиз. Помогите с даташитами.
https://t.me/agatbolt/9716
ДД
18:19
Денис सेवक सेवकाः Динанатх Гопал Дас
А кто нибудь может меня носом ткнуть на описание и код или приложения каких нибудь хороших алгоритмов архивации для Вектора? Где можно изучить про это ?
Сделал лаконичные значки, убрал стек, в целом, все выглядит интересненьки, даже без таблицы загрузки и сине желтого экрана.. Но не влазеет в РТ5... Хочу попробовать поиграться с архиваторами, попробовать на сколько код ужимается. Пока что перевес в 20%... Вот всего то из за двух 8Х8 картинок, а точнее не картинок, а механизма вывода.. ПОнятно что это все оптимизируется еще, но не на столько. Без картинок обьем 508 байт, и как бы я не оптимизировал вывод картинок он в 4 байта не влезет, каждая картинка только 8 байт, их три или даже 4, до загрузки оисуется типа монитор с клавиатурой... Ну понятно 8Х8 пикселей... После загрузки рисуется либо микросхема либо диск, в зависимости от того от куда... И если загрузка не произошла - нада нарисовать предупреждающий знак, и снова пробовать.
Ожидаю помощи по архиваторам. И заранее благодарен !
NZ
18:21
Nikita Zimin
На форуме тема "Сжатие данных" https://zx-pk.ru/threads/29679-szhatie-dannykh.html
🙏
ДД
18:30
Сам я использовал алгоритм ZX0 с компрессором Salvador https://github.com/emmanuel-marty/salvador/releases
Код декомпрессора от ivagor
👍
ДД
18:36
До этого ещё использовал LZSA1 и LZSA2, но ZX0 получше будет
18:37
In reply to this message
в том же репо можно попробовать ZX1/ZX2/ZX5
Ю
19:11
Юрий Ларин
In reply to this message
Я сейчас освежил в памяти обе эти схемы. Та, что на двух триггерах замыкает на массу вывод АС36, это сигнал "сброс" с клавиатуры, я бы не рекомендовал её на ёмкостных клавиатурах. Плюс сброс там выполняется по миганию "рус", а логичнее было бы использовать сигнал реле. Схема на одном триггере похожа на схему автозапуска 02-го Вектора. А так, мне больше нравится управление сбросом через отдельный порт, как в ПК-6128ц, но на обычных Векторах это потребовало бы модификации прошивки.
ДД
20:28
Денис सेवक सेवकाः Динанатх Гопал Дас
In reply to this message
Благодарю !!!
Сигнал реле я из загрузчика выкинул, он не для квазидиска не нужен не для харддиска, пару байт сэкономил.
Вот как раз ФС36 везде замыкал, а сигнал брал от момента когда светодиод загорается и тухнет. Проблема была если как то после сброса он горел, на тимсофтовской прошивке такое бывало, и я наделил эту схему RC цепочкой, работает. Понял, надо поизучать вторую схему автозапуска, думаю со второго раза заработает.
Ю
21:56
Юрий Ларин
In reply to this message
Вообще, для автозапуска лучше использовать сигнал реле, а не светодиод, это позволит, например, его зажигать во время каких-нибудь тестов из ПЗУ... Например, в той же тимсофтовской прошивке на 32к есть подпрограмма самопроверки ПЗУ, которая в случае удачи мигает светодиодом.
VP
22:11
Viktor Pykhonin
In reply to this message
Вопрос еще актуален?
26 May 2023
ДД
09:12
Денис सेवक सेवकाः Динанатх Гопал Дас
Похоже прошивке с пиктограмками не суждено залезть в РТ5... :(
Математика такая... Откомпилированный файл прошивки с пиктами занимает 568 байт, архивируется до 537, что уже по любому не влазеет.. А еще к этому надо как минимум 120 байт на распаковщик и разного рода управляющие коды... В общем, ничего не получается. Выходит, что можно совместить HDD+KD только дез даже минимальной информативности... ТАкая себе еше перспектива... В общем, похоже проект можно закрывать. 4 байта для хотя бы какой либо минимальной информации о том, что елает загрузчик не хватает, а без информации - ну совсем не айс...
Тем не менее, еще поковыряю, может что то и получится. По крайней мере еще можно убрать поиск файла OS.COM по имени. Но думаю 10 байт в целом ничего не решит...
🔥
A
09:21
Да, есть конечно стек в правом верхнес углу экрана, который в целом говорит о том, что что то происходит... Так что прошивка для РТ5 можно сказать есть, с возможностью грузиться и с квазидиска и с HDD...
09:22
Если кому то интересно попробовать на реальном векторе - велкам...
👍
Ю
09:22
Но думаю желающих будет не много ))
А
09:25
Алексей Шевцов
Думаю, что нужно просто оптимизировать загрузчик на 32 кб. Пытаться впихнуть невпихуемое наверно не нужно...
09:26
Не такая уж сложная переделка требуется.
ДД
09:42
Денис सेवक सेवकाः Динанатх Гопал Дас
Не, на 32к оптимизированных загрузчика аж 3 есть... Там все хорошо.. Не хватает хорошего загрузчика на 512 байт.
Есть конечно еще некоторая идея. впаять бутерброд из 2х РТ, там буквально один или два провода нужно будет допаять чтобы это стало 1к. Но все равно
09:43
как то это не айс... Тем более по 2 РТ5 использовать грех в одном векторе, они уже весьма редкие )))
09:45
В целом, эксперимент прошел позитивно, загрузчик на 512 байт HDD+КД получен.
👍
A
АС
Ю
18:47
Юрий Ларин
In reply to this message
А в 512-загрузчике осталась установка палитры? Может просто "поиграть цветами", например, при загрузке с КД делать бордюр жёлтым, а с НЖМД -- синим...
ДД
20:48
Денис सेवक सेवकाः Динанатх Гопал Дас
In reply to this message
Да, палитры грузятся, сейчас экран черный, а стек в правом верхнем углу зеленый. В целом по размеру стека можно понять с чего грузится, хдд примерно 3-4 ряда пикселей максимум, а у КД все 10 а то и больше...
Не думал о цвете бордюра, как вариант пройтись по палитре с возвратом на место вызова нужно 6 байт, то есть два call с адресом. И плюс к этому ряд операторов задающих нужный цвет бордюра перед вызовом. То есть ну бит 8-10.. Свободных там 4. Если найти еще бит 6 то в целом можно задействовать бордюр для индикации устройства. Отличная идея!!! Спасибо!
20:50
Хотя в черном цвете это все эстетичнее как то выглядит...
20:52
Все современные оси имеют черный фон и белый или изначально зеленый текст. Если после включения появляется ненадолго чистый синий экран, выглядит это странно...
20:53
По этому я перешел на черный экран и зеленый стек в углу.
20:54
Если бы после загрузки бордюр, или сам экран один или пару раз мигал каким то цветом было бы интересно.. Может вместе с рус/лат...
20:57
Вот... Для стекла HDD можно поставить палитру например ярко желтую, а для стека кд ярко синюю или что то типа того. Чтобы по цвету стека было понятно кто это...
20:57
Хотя и по самому стеку можно понять.
20:59
Меня больше беспокоит момент, если нет ни хдд ни кд... То просто чёрный экран.... Вот тут не понятно в чем проблема. Если такую машину включит несведущий, и ожидая увидеть таблицу загрузки увидит просто черный экран - сильно расстроится )))
Ю
21:51
Юрий Ларин
Вообще, я бы сделал в таком порядке: грузим систему с КД или ХДД, а потом правим палитру.
А чтобы поменять цвет бордюра достаточно 4 байт:
mvi a, [цвет]
out 02
Кстати, совсем не обязательно выставлять палитру в два цвета. 🙂
21:56
Ещё вариант: можно менять не всю палитру, а только один цвет, например 0, тогда будет меняться цвет всего экрана, заполненного нулями.
22:01
Так можно даже последовательно перебирать все 256 цветов, например, если загрузка не удалась, чтобы не расстраивать пользователя. 🙂
22:03
Кажется, такие подпрограммы не сильно много места займут.
ДД
22:41
Денис सेवक सेवकाः Динанатх Гопал Дас
В любом случае, свободно было только 4 байта. Пробовал сегодня еще что то найти, что можно убрать, и не нашел :( все же буду пробовать еще варианты. Добавил push и pop которые в стек добавляют отсчет времени, ранее я их убирал, но смотрится стек без движения не очень...
27 May 2023
Ю
14:21
Юрий Ларин
In reply to this message
Так для изменения цвета как раз 4 байта и надо. 🙂
ДД
15:07
Денис सेवक सेवकाः Динанатх Гопал Дас
In reply to this message
А разве для смены палитры не нужно запускать прерывания, ожидать, и по прерыванию записывать в ру2 значения цветов палитр? Я вчера так сделал, пп заполнения ОЗУ палитр вынес отдельно, и запускал ее либо по чтению с кд, чтобы стек стал желтым либо с хдд чтобы стек стал зеленым. Там байт 9 прибавилось на переходы...
Ю
17:33
Юрий Ларин
In reply to this message
Я имел в виду цвет бордюра. А с палитрой тоже можно поиграться, например, у Черезова есть такой метод:
17:34
17:34
И не обязательно менять всю палитру.
17:37
Можно делать не полосы, как у Черезова, а просто записать нулевой цвет -- это изменит фон экрана, и для этого тоже хватит 4 байта.
👍
ДД
28 May 2023
ДД
11:53
Денис सेवक सेवकाः Динанатх Гопал Дас
Попробовал мигать фоном. в целом, все бы хорошо, даже после загрузки легко добавив всего 3 байте - перебирать все 256 цветов фона вместе с миганием светодиода. Проблема одна, без байтозатрат не реально спрятать загрузку сиссемы. То есть после запуска загруженного "распределителя" системы - он начинает распихивать куски, и в случае с Е72 и в случае с РДС - какая то часть системы попадает в экранную область, и это все очень портит картину. Можно конечно пройтись снова по цветам, но это попросит еще как минимум три - четре байта, а йх увы нет. Может конечно и появятся еще, но пока нет.
12:05
Чтобы все это как надо обрезать и отрихтовать, чтобы сделать красиво нужно побольше байт, ну типа не просто цвета перебирать, а сделать разные цвета для КД и HDD, сделать нужного размера полосы (не факт что на всех векторах это будет оинаково и похоже на эмулятор) нужно все таки какой то значек на экран вывести... В общем, мне кажется, на данный момент вариант со стеком в правом верхнем углу самый приемлимый. В целом, поменять ему цвет в 4х байтах реально... ))
ДД
12:39
Денис सेवक सेवकाः Динанатх Гопал Дас
Думаю на вот этой версии остановлюсь, чувствую ничего более интересного не получится. Хотя если кто то видит в себе силы (а я думаю такие найдутся) - можно и подкрутить что нибудь... Следом будет бинарник и исхдники. По работе - РДС грузится с HDD а T72 с KД. Стек у HDD коротенький, у КД длинный, в целом с чего загружается понятно, что загрузилось понятно, если просто черный экран - варианта два - либо нет ни КД ни HDD, либо Вектор не исправен. В целом все просто и логично.
👍
Ю
A
A
12:41
AKATLA
In reply to this message
Я правильно понял - ставим мультикарту и зашиваем бинарник и все работает?
ДД
12:43
Денис सेवक सेवकाः Динанатх Гопал Дас
In reply to this message
Да, совершенно верно, зашиваем бинарник в РТ5 и мультикарту в ВУ и переделки по ПЗУ 2К или 32К не нужны.
👍
A
12:45
Там есть еще пара байт, можно убрать .db 055h, 0AAh в конце ПЗУ, без них работать должно все. НУ и наверняка можно что то оптимизировать еще, я вообще не большой спец по ассемблеру, так балуюсь.
r
12:46
reddie
In reply to this message
а вариант втыкать "расширенное пзу" вместо РТ5, раз уж все равно лезть внутрь, не рассматривается?
ДД
12:47
Денис सेवक सेवकाः Динанатх Гопал Дас
И,... инверсию цветов и синхросигнал это ПЗУ не исправляет 🤪
12:47
In reply to this message
Расширенных много реализовано, В том числе и мной тоже. Интересно было поместить все для мультикарты именно в 512 байт.
r
12:48
reddie
а, ну тогда да. вроде как спортивный интерес =)
ДД
12:51
Денис सेवक सेवकाः Динанатх Гопал Дас
Ну не совсем спортивный, дома лежит "Волжский" пациент под этот спортивный интерес. РЕшил его сильно не ковырять.
12:52
По крайней мере под ПЗУ только панель поставлю, а может и сверху напаяю..
r
12:54
reddie
я прост к чему: для пзу 2к-32к все равно же нужны какие-то доработки платы? можно хитрым трюком работать через исходное окно в 512 байт (если там ограничение стоит)
ДД
12:56
Денис सेवक सेवकाः Динанатх Гопал Дас
Ну да, если втыкать модуль, который соединяет ШД и все ША от РТ5 к например 27С512, а недотающие пины ША подводятся от процессора проводами - в целом, так и происходит..
👍
A
13:03
Если кто то попробует на реале этот загрузчик, снимите видос пожалуйста как работает.
A
13:11
AKATLA
У меня к стати лежит один Вектор. У него как раз РТ5 прямо на цокете. Но это еще не скоро будет, но сниму.
👍
ДД
ДД
14:29
Денис सेवक सेवकाः Динанатх Гопал Дас
А, забыл сказать, из управления там только "УС", когда ее держишь, то загружается с HDD, если ничего не держать, загружается с КД - если на нем есть файл OS.COM. Если нету - то переходит к загрузке с HDD. Если OS.COM испорчен на КД - жмем УС, и после запуска загруженной системы продолжаем жать УС - форматируется КД и если система правильно сконфигурирована - то сразу на КД пишется OS.COM. Вот так вот все логично ))
👍
Ю
A
A
15:09
AKATLA
In reply to this message
Ну что сказать! :) Новый этап в развитии Вектора! :)
NZ
15:22
Nikita Zimin
In reply to this message
Выглядит логично, но опасно. Всё таки перед форматированием я бы выводил предупреждение с подтверждением.
ДД
15:35
Денис सेवक सेवकाः Динанатх Гопал Дас
In reply to this message
Дак не загрузчик форматирует. У всех систем на векторе так принято, если стартуешь с зажатым УС - форматируется квазидиск.
NZ
15:36
Nikita Zimin
А, понял, тогда конечно это окей
Ю
18:09
Юрий Ларин
In reply to this message
Может тогда в загрузчике сделать переключение по СС вместо УС?
ДД
18:29
Денис सेवक सेवकाः Динанатх Гопал Дас
In reply to this message
Я сначала сделал по СС, но мне показалось удобным, именно УС. И так и есть, если мы загружаем сстему с диска, это в большинстве случаев означает что на квази диске система испорчена, за редким исключнеием. Я попробовал, и действительно, красота, даже палец не нужно перенсить. МОжет конечно на машинах с быстрым автозапуском будет как то по другому, но без автозапуска то что нужно.
r
20:46
reddie
🔥
ДД
ДД
21:14
Денис सेवक सेवकाः Динанатх Гопал Дас
In reply to this message
Герконоваая клавиатурка...
Я такой только Минский в сером корпусе, тоже с нуля купил за 100$ в 2019 вроде... Барыги цену конечно подгибают... Реальная цена его в целом это цена новодела в моем понимании.. Вместе с корпусом и клавиатурой максимум 15 тыр... Ну пусть в случае если как новый - за комплект документов и БП еще 5 тыр... Но это блин потолок... А кто как считает?
👍
СЦ
КV
21:16
Коте (Сторож) Videogames Sematary Security Service
In reply to this message
почем покупают, по той цене и будут барыжить. а потом снесут на свалку. рынок
СЦ
21:24
Сергей С. Вектор 06 Ц
Главное написать "Для настоящих ценителей , раритет". А дальше можно ставить цену 100500 рублей. =)
21:26
Заводской № 2380. И 5-ть восклицательных знаков. В чем его раритетность? Был бы номер 1234/1111 и т.д. я бы еще понял.
Причем ни одного подтверждения что оно работает.
КV
21:30
Коте (Сторож) Videogames Sematary Security Service
в том что их не так много, а новоделов нет
NG
21:30
Night Gryphon
ДД
21:33
Денис सेवक सेवकाः Динанатх Гопал Дас
Новодел я посчитал если самому собрать на вскидку... Если делать на продажу дороже будет...
21:40
Кстати хт недавно ноутбук выпустили, наверное китайцы, разошлась в момент вся партия. Маленький лэптоп со съёмным процессором и сопроцессором, с небольшим дисплейчиком... Не дорогой вроде... Вектор конечно так не раскупят, если его в виде ультрабука выпустить, но все равно наверняка найдутся желающие.
21:42
Я не успел на али зайти даже, посмотреть на это чудо, а уже написано что товар отсутствует...
MS
21:43
Mike Sh
In reply to this message
Мне кажется, было бы круто разработать такой ноутбук на ПЛИС, куда поместится любой ретро-комп,т па Мистер или Спектрум Некст. Чтобы процессор тоже был в ПЛИСе. Тогда будет популярными.
ДД
21:44
Денис सेवक सेवकाः Динанатх Гопал Дас
In reply to this message
Не, Плис баловство... Не вектор это будет... 😉
👍
Ю
СЦ
21:44
Сергей С. Вектор 06 Ц
In reply to this message
На мой взгляд, 20к это в принципе потолок для Вектора. Все что выше это охреневшие продавцы.
MS
21:44
Mike Sh
In reply to this message
Почему не Вектор, если в точности его схематику туда закачать?
S
21:45
SERJLTD
Когдато их просто отдавали, свой сменял на китайскую денди) )
ДД
21:46
Денис सेवक सेवकाः Динанатх Гопал Дас
In reply to this message
Ну кому охреневшие а кто покупает. Я японца знаю который с аукциона 06ц02 купил... Запакованный и запечатанный в коробке... Он даже не признается сколько заплатил, но я примерно могу представить. Вот с этим черным примерно такие надежды у продавана.
21:49
In reply to this message
Ну потому что технология изготовления не та, тайминги не те .. Ретрокомп в плисе это нечто за уши притянутое, я плотно общаюсь с одним товарищем, который Агат 9 в плисе реализовал... Реально нельзя сделать Вектор на микросхеме имеющей в сотни раз меньший размер элемента.. Там очень многое за уши притягивается.
СЦ
21:51
Сергей С. Вектор 06 Ц
In reply to this message
Японцы не показатель, у них уровень дохода другой и реальной стоимости они точно не знают.
21:52
In reply to this message
Почему нельзя на плисе? Вон в Next засунули тайминги чего только угодно, в т.ч. советского zx. Цена у него конечно кусается, но даже она нифига не 65к.
ДД
21:53
Денис सेवक सेवकाः Динанатх Гопал Дас
In reply to this message
Согласен. Но барыги цену именно под таких японцев формируют. Недавно видел чувак поиск за 300к на Авито продавал... Я аж списался с ним, спросил что у него там такого, что аж 300. До этого больше 100к не видел даже с периферией )))
21:55
In reply to this message
Next это новый компьютер по мотивам Спектрума... Он не позиционируется как новодел какого либо ретро аппарата. Так же и вектор на плисе не возможен, возможен ... Ну типа мегавектор ][ по мотивам вектора 06ц.
21:57
А вектор 06ц02 возможен только на 580ВМ80А... В целом допускаю что большую часть мелкой логики можно и в Плис, но только ту, от которых в целом не зависят сильно тайминги. БИС все должны быть теми родными чтобы Вектор получился .
r
21:58
reddie
In reply to this message
"реальная цена" определяется готовностью покупателя расстаться с энной суммой денег. что для одного дорого - для другого небольшие деньги. так кому в итоге уйдет товар?)) ответ, думаю, очевиден
СЦ
21:59
Сергей С. Вектор 06 Ц
In reply to this message
Есть маленькое но, Z80 выпускали и выпускают (до сих пор) в т.ч. на 20 МГц. Если бы была версия КР580 на большей частоте, был бы новодел?
21:59
Да и Векторы были на Z80, понятное дело, переделки.
r
22:00
reddie
новодел и сделали на Z80, 12 мгц
22:00
ну, не совсем новодел, а ремейк
ДД
22:01
Денис सेवक सेवकाः Динанатх Гопал Дас
In reply to this message
Не уверен... Векторов не было с процессорами больше 3 МГц. Можно использовать ВМ85, там 6 МГц стабильно, можно разогнать наверняка, до 8 думаю. Но это не будет Вектором 06ц01 или Вектором 06ц02.
22:01
In reply to this message
Вот...
22:04
Есть mtv230 например который состоит из 2х ядер 8085 с увеличенной частотой... Можно использовать. Правда проц заточен под операции с видео и имеет кучу мнемоник для взаимодействия между ядрами и специальных... Но его вполне можно как продолжение вм80 использовать.
СЦ
22:04
Сергей С. Вектор 06 Ц
In reply to this message
Если есть обратная совместимость то почему нет
ДД
22:05
Денис सेवक सेवकाः Динанатх Гопал Дас
Я пытался с ним бороться, такие в gbs82xx cтоят. Частично удалось дизассемблировать код. Но многое не понятно... Много доков на китайском.
22:07
У меня таких процессоров штук 5-6 дома есть. )) заменял на GBS control .. Может когда то и займусь..
22:08
Если кому то интересны доки на mtv230 могу архивом выслать.
ДД
22:26
Денис सेवक सेवकाः Динанатх Гопал Дас
Не mtv230 это 8051 а не 8085... Попутал. Это вряд ли оно... Хотя частично где то похоже. Ну и там все под видеообработку заточено, причем это не процессор а микроконтроллер. Короче не то.
MS
22:39
Mike Sh
In reply to this message
Ничего не понял - какие ещё "тайминги"? ПЛИС позволяет один-в-один реализовать всю цифровую логику, в т.ч. центральный процессор с точностью до транзистора (при желании сделать именно так точно). Поведение такой машины на входных-выходных разъемах будет идентично оригиналу. Другое дело, что есть ПЛИСы, для которых проблема сделать асинхронную схему (если в ней есть некратные частоты), поэтому, к примеру, в ZX Evolution не смогли реализовать расширенный экран Профи (пиксель-клок 12 МГц вместо 7), но вот в Карабасе Про как-то смогли (другой тип ПЛИС, видимо). Я не эксперт по ПЛИСам, но меня раньше все специалисты убеждали, что никаких различий с оригинальной схемой не будет, если там нет аналоговой части. А если есть (скажем, конденсаторная задержка смещает что-то на пол-пикселя), это можно смоделировать бОльшей частотой.
ДД
22:45
Денис सेवक सेवकाः Динанатх Гопал Дас
In reply to this message
Ну теоретически так, а в реальности гораздо сложнее и все тянется за уши... Технологии в 90хизмерялись в мкм, сейчас в нм, напряжения питания тогда 5в и 12в не редко, сейчас 3.3. Опять же ттл работал по другому чем современные (х)моп образно. Это совершенно разные элементы... И они работают по другому естественно.
22:47
время срабатывания логики или триггера уменьшилось в десятки или сотни раз, и не пропорционально причем.
22:49
С точки зрениялогики можно получить ту же схему, но во времени ее работа будет сильно отличаться.
СЦ
22:51
Сергей С. Вектор 06 Ц
In reply to this message
Дело не в том чтобы повторить какие-то отдельные компоненты, а в том числе их взаимодействие. У оригинального спектрума была быстрая медленная память, у Вектора странная палитра, которую надо по несколько раз записывать и т.д. Много мелких тонкостей. Даже разные версии чипов AY отличались друг от друга, и звук был разный.
22:55
Наверняка даже отклики по времеми клавиатуры Вектора были разные в зависимости от "герконовая" или "емкостная" где куча доп. микросхем.
29 May 2023
MS
01:44
Mike Sh
In reply to this message
Такие тонкости и в реплике на мелкой логике повторить не удастся. Тут только музейные экспонаты помогут, только реставрация.
ДД
08:32
Денис सेवक सेवकाः Динанатх Гопал Дас
In reply to this message
Тут надо понять разницу, масштаб, между логикой разных партий и разных производителей из 90х разница в быстродействии может составлять несколько десятков, наносекунд, а между современной логикой и логикой из 90х разница в 3-4 порядка, причем вполне может быть не пропорциональной на разных логических элементах схемы.
r
08:42
reddie
простой пример: меняем часть логики, упихивая ее в "галки" (GAL), быстродействие которых гораздо выше, нежели исходных нескольких "тараканов" рассыпухи. По итогу схема, рассчитанная с учетом задержек той самой рассыпушной логики, может или сбоить, или вообще не работать
08:43
а большие цплд/фпга и вовсе нивелируют кучу задержек в схеме, там иногда приходится целиком ее переделывать
MS
10:51
Mike Sh
Хорошо разъяснили, теперь понятно.
Ю
12:21
Юрий Ларин
In reply to this message
Немного порихтовал загрузчик: убрал всё лишнее, добавил ненужное...
🙏
A
ДД
12:23
Высвободил 28 байт -- можно творить раскраску цветами. 🙂
🔥
AF
A
A
4
ДД
12:26
Денис सेवक सेवकाः Динанатх Гопал Дас
In reply to this message
Оооо.. Чудно ! 28 байт это достаточно для интерактива )))
12:40
In reply to this message
Тут сам код достоен теперь изучения. Кое что заменено очень изящьными оборотами, которые я себе даже и не предполагал !!! Супер !
👍
A
ДД
14:23
Денис सेवक सेवकाः Динанатх Гопал Дас
Хорошо получается подсвечивать цветом бордюра, в целом на эмуляторе выглядит гармонично. На GBS тоже будет гармонично. А вот те кто на теликах через скарт это будут видеть - у них будет неравномерность левой и правой полосы :( Эктан то смещен на скартах....
14:26
Опять же, если будет автозапуск от реле - то этого могут и не увидеть, потому что сначала выключается реле, а потом прерывание - и только по прерыванию в порт закидываются байты цветов.
14:28
В общем, целесообразноть каких либо подсветок тут под вопросом, по краяней мере с эстетической стороны зеленый стек на черном фоне выглядит вполне достаточным. Тем не менее, оптимизация кода это супер !
14:29
Может у кого то что то еще получится ?
14:32
👍
АШ
14:33
Более темный зеленый бордер при загрузке с квазидиска, более яркий при загрузке с HDD.
АС
14:33
Алексей Сугоняев
In reply to this message
Это в том случае если бы взять не рверсенную корку ВМ80, то да - там много допущений ,а где и специально изменен микрокод что бы быстрее. Но есть реверснутый 580ВМ80, там все будет один в один
14:34
In reply to this message
В случае процессора, логика будет синхронной - то есть в полной зависимости от клока.
14:35
In reply to this message
Это в асинхроне так бывает, да задержка на элементе будет другой, разговор то вроде за синхронные схемы идет
ДД
14:36
Денис सेवक सेवकाः Динанатх Гопал Дас
Не будет.
14:36
1 в 1.
14:37
Будет по другому с костылями, ухищьрениями и притяжками за уши.
АС
14:38
Алексей Сугоняев
In reply to this message
Да он реверснутый, его до транзистора реверснули и перевели этот уровень потом в RTL
👍
A
ДД
14:38
Денис सेवक सेवकाः Динанатх Гопал Дас
Есть свидетельства тому. Многочисленные. Я говорил уже, плотно общаюсь с разработчиком Агата 9 на плис. И я имею понимание что такое ПЛИС и Верилог из первых рук.
14:39
In reply to this message
я даже очень сомневаюсь что до транзистора реверснули, там костылей тоже будет много.
АС
14:39
Алексей Сугоняев
In reply to this message
NZ
14:39
Nikita Zimin
Ну это смешно уже. На уровне "я просто не верю"
АС
14:40
Алексей Сугоняев
In reply to this message
там же 6502, он сволочь асинхронный
A
14:40
AKATLA
"я даже очень сомневаюсь " - нет, его уже давно разобрали до последнего транзистора, Денис. Это именно так.
ДД
14:41
Денис सेवक सेवकाः Динанатх Гопал Дас
In reply to this message
В этом я не сомневаюсь. Я сомневаюсь в реализации на верилог в плис 1 в 1.
A
14:42
AKATLA
In reply to this message
Понятно, HDL уже пишет, человек. Конечно может и подкрутить. Но у "1801" - там достаточно все дотошно сделано. Там команда серьезная.
АС
14:42
Алексей Сугоняев
In reply to this message
конечно ПЛИС его не копирует транзистор в транзистор
ДД
14:44
Денис सेवक सेवकाः Динанатх Гопал Дас
In reply to this message
Вот я об этом. И соответственно работает он по логике 1 в 1, но по времени совсем по другому .
АС
14:45
Алексей Сугоняев
In reply to this message
Нет со временем там все хорошо, потому что он в отличии от 6502 не использует трюков с асинхронным поведением, он же статически определен, можно остановить клок
L
16:18
LeoN
In reply to this message
Ты ошибаешься... 😉
АС
16:25
Алексей Сугоняев
In reply to this message
мы уже где то на брудершафт махнули? :)
ДД
20:21
Денис सेवक सेवकाः Динанатх Гопал Дас
Ничего из разного рода эффектов с миганием бордюра и экрана меня не впечатлило. Лично я остановился бы на вот таком эффекте. Загрузка происходит на черном экране. о загрузке свидетельствует стек в правом верхнем углу, после загрузки стек чрезстрочно мигает вместе со светодиодом. Как бы просто но со вкусом. По размеру стека можно понять с чего загрузилось, по миганию - то что можно уже запускать.

Единственное - я не знаю, есть ди такой чрезсройный эффект у реального вектора, или только у эмулятора. Я на реале такие штуки не делал..

При наличии автозапуска до мигания не дойдет скорее всего. Конкретно вектор для которого я это делаю не будет скорее всего оснащен автозапуском. Как то так. Если будут еще варианты, с удовольствием посмотрю. Всем творческого настроения !
👍
Ю
20:23
Опять же если кому интересно ;)
20:31
А, я понял, чрезстрочность это режим 512Х256, да это будет работать.
20:32
И не чрезстрочность а чрезбитность.
9
22:38
926
Сорян но для поднятия настроения
9
22:38
926
9
926 29.05.2023 22:34:18
30 May 2023
ДД
10:36
Денис सेवक सेवकाः Динанатх Гопал Дас
In reply to this message
А есть у вас исходники варианта загрузчика с КД который вы публиковали на ZX-PK не переработанного, который грузит OS.COM без проверки имени ? Там само имя байт 10 и еще П/П проверки имени - байт 20... Мне кажется, если убрать проверку и грузить тупо с нулевой дорожки, то можно таки пикты всунуть. У меня сейчас на сокращенную версию с 2 пиктами не хватает 19 байт. Если найдете исходники без проверки имени, изучу и выкину от сюда проверку имени, и тогда по крайней мере упрощенную версию с пиктами сделаю. В целом, как ни крути, если OS.COM пишется после форматирования (а у меня везде так настроено) то загрузка гарантированна.
10:38
И если так получится, то в случае отсутствия и КД и ХДД - тоже будет понятно что все работает по миганию пикта на экране...
Ю
11:04
Юрий Ларин
In reply to this message
Я сделал по-другому: при ошибке КД грузится с НЖМД, а если и там ошибка (нет системы, или диск не подключён), то включается перебор цветов экрана, думаю это будет вполне наглядно.
Плюс ещё попутно исправил найденные ошибки, добавил новые...
ДД
11:05
Денис सेवक सेवकाः Динанатх Гопал Дас
Ну хотелось бы чего то омознанного на экране, пиктограммок осмысленных.. А то этот стек, может быть глюком вполне, и перебор цвето тоже модет быть какой то ошибкой.
11:06
А тут проверяется имя тоже ?
Ю
11:07
Юрий Ларин
In reply to this message
Пиктограмки займут много места, а толку от них не много, мне кажется.
11:07
In reply to this message
Да.
11:09
Я бы ещё добавил бы более продвинутую проверку загрузочного сектора, как в boot24, но там всего 6 байт осталось... Лучше пусть вместо картинок будет функционал.
ДД
11:16
Денис सेवक सेवकाः Динанатх Гопал Дас
Пиктограмки это что то осознанное на экране. Да, они по 7 байт каждая. Если только КД или ХДД то 14 байт, если еще и мониторчик - который говорит о старде загрузчика - то еще 7 байт, итого 21, и плюс 25 байт ПП для вывода их на экран, пара джампов, в общем в общей сложности байт 50 - 55... Если считать что 28 есть, а далее массив байт - OS.COM - это 10 байт, и ПП проверки имени это еще 20 байт... Итого, все должно влезть.
11:16
Ну и я много лет пользовался загрузчиком который грузит без проверки имени, и в целом проблем не знал )))
11:26
Перебор цвета тоже норм выглядит. Но с пиктами будет просто нагляднее и понятнее. Мигает монитор на экране - нет носителей, а если носители есть, стек и пикт HDD или стек и пикт КД. Выглядит это законченным ПО. Но не влазеет ))
Ю
11:36
Юрий Ларин
In reply to this message
Да, понятнее. Но если брать картинки по размеру, как в стандартных загрузчиках, то там они по 24 байта, программа отрисовки ещё на 38 байт, но её можно сократить. Сделать картинки меньше тоже можно, но будет менее понятно, что там нарисовано.
11:37
In reply to this message
Дело привычки...
ДД
11:38
Денис सेवक सेवकाः Динанатх Гопал Дас
In reply to this message
Это я все сделал.
Ю
11:40
Юрий Ларин
Тут можно сделать некий "ход конём" -- записать картинки и подпрограмму на жёсткий диск в системную область после самой системы, а в прошивке проверять их наличие и запускать.
11:45
Там 40кб для системы выделено -- места более чем достаточно. Можно использовать последний килобайт для картинок, и даже при перезаписи системы он не будет затронут.
11:47
Если запускается без диска, с одним КД -- чёрный экран. Без комбодевайса -- перебор цветов. ))
ДД
11:59
Денис सेवक सेवकाः Динанатх Гопал Дас
In reply to this message
Меня черный экран пугает...
12:00
Вот как это с пиктами выглядит... Если нет ни КД ин ХДД - просто мигает мониторчик на экране, из за цикличной перезагрузки.
12:01
На данный момент не хватает 19 байт. Если выкосить проверку - еще и останется.
ДД
12:44
Денис सेवक सेवकाः Динанатх Гопал Дас
In reply to this message
тут я ошибся, пользовался своим загрузчиком на основе timsoft - так вот там тоже по имени ищется OS.COM....
r
12:51
reddie
еще Вектор, вроде и цена не заоблачная... но по фоткам становится ясно. что и это перегиб =) https://www.avito.ru/kirovskaya_oblast_kirov/nastolnye_kompyutery/kompyuter_vektor_06ts_2984029867
СЦ
12:57
Сергей С. Вектор 06 Ц
In reply to this message
тут клаву всю менять. а как экспонат на полочке это не интересно.
r
12:58
reddie
In reply to this message
по это и говорю, за убитый комп просят 20 тысяч
ДД
13:01
Денис सेवक सेवकाः Динанатх Гопал Дас
Ценна вообще не разу не адекватная, без БП и пары клавишь ему цена максимум 10 тыр,
13:05
In reply to this message
В общем, это самая адекватная версия, только я там

PUSH B ;
POP B ;вывод счетчика в экран по адр. SP

раскоментил чтобы движение было в стеке всегда.
В остальном смена цвета вполне норм для того чтобы показать что нет устройств.
👍
Ю
Ю
13:17
Юрий Ларин
In reply to this message
Можно сделать его синим... 🙂
👍
АШ
13:19
In reply to this message
Скорее, не ищется, а проверяется имя первого файла.
ДД
13:41
Денис सेवक सेवकाः Динанатх Гопал Дас
In reply to this message
В синем экране есть смысл если после него грузится система с синим фоном. А так, не понятно, зачем красить в синий, особенно с автозапуском..
SM
13:56
Surin Mikhail
In reply to this message
тут же единицы остались с такой компАновкой))) интересно - с какой такой компАновкой?)))
9
14:04
926
In reply to this message
Зеленые кондеры к сожалению на золото плавят. А их тут много
Ю
14:05
Юрий Ларин
In reply to this message
По-хорошему, там должна быть надпись "нажмите БЛК-СБР", тогда всем будет понятно, а показывать с чего была загрузка не обязательно. Только надпись там разместить негде.
ДД
14:09
Денис सेवक सेवकाः Динанатх Гопал Дас
In reply to this message
Нету там золота.... Паладий там. И не плавят а травят ))
🔥
АС
A
14:09
In reply to this message
Это точно, там и пикты не помещаются...
A
14:11
AKATLA
In reply to this message
Перебор!
r
14:18
reddie
In reply to this message
ну если бы он был целый и комплектный - еще куда ни шло
A
14:18
AKATLA
In reply to this message
Принимаем, как окончательный вариант?
r
14:18
reddie
а в том виде - десятка потолок, как Денис и написал
ДД
14:21
Денис सेवक सेवकाः Динанатх Гопал Дас
In reply to this message
Я этот принял для себя, там на два байта меньше свободного и добавлено движение (отсчет времени) в стеке во время ожидания, в остальном 1 в 1.
A
14:22
AKATLA
In reply to this message
Ок, возьму оба. Протестирую, как руки дойдут до "Вектора"! Сейчас все силы на Неон брошены! :)
9
14:23
926
In reply to this message
ну я этим *** не занимаюсь
ДД
14:23
Денис सेवक सेवकाः Динанатх Гопал Дас
In reply to this message
я тоже.
A
14:23
AKATLA
In reply to this message
Но тему секу! :)))))
14:26
In reply to this message
Вообще затея отличная! Но все таки цветовые "фичеры" - нужно делать. Но так или иначе меньше возиться! Спасибо мастерам asm-атикам! 😎👍
14:27
К стати могу нашить РТ5-х. Если кто будет заинтересован. Но это примерно через месяц, как дипломников закроем! :)
ДД
14:28
Денис सेवक सेवकाः Динанатх Гопал Дас
In reply to this message
Там есть цветовые "фичеры" - если не удалось ни с чего загрузиться - перебераются 256 цветов по кругу...
A
14:29
In reply to this message
Денис, я имею ввиду переделку Вектора, для инверсии цветов и синхры.
👍
Ю
ДД
14:33
Денис सेवक सेवकाः Динанатх Гопал Дас
Понятно. Я думал ты об этом:
П
🔥
A
ДД
17:31
Денис सेवक सेवकाः Динанатх Гопал Дас
Есть проблемы... Нужно буфер КД и HDD выводить за пределы 8000 - FFFF, иначе будет видно вот такие полосы. Это E5. Так происходит когда на KD нет файла OS.COM. А то что на экране - это буфер, который драйвер KД качает для того чтобы найти в нем OS.COM. Не критично, буфер можно перенести например в 7800h, там он тоже будет прекрасно работать, и никому не мешать.
17:45
Вот. И еще, добавил одно число в ПЗУ по аналогии с PC - теперь если посчитать контрольную сумму shecksumm-8 всех 512 байт - получается 00. Это означает что код не поврежден и ПЗУ в норме. Это 510 байт. 511 и 512 - это тестовые числа 01010101 и 10101010 - если чексум не равен 00 то нужно посмотреть на эти два числа, тогда возможно прояснится какой бит ПЗУ не контачит... Ну это так, для проверок при ремонте, на работу загрузчика последние три байта не влияют, если нада можно удалить.
👍
Ю
Ю
18:38
Юрий Ларин
In reply to this message
Я видел это, но решил оставить -- так по внешнему виду можно будет определить ошибки. Для тех, кто знает...
ДД
18:38
Денис सेवक सेवकाः Динанатх Гопал Дас
А для тех кто не знает это паника будет ))))
Ю
18:39
Юрий Ларин
In reply to this message
Для тех, кто не знает, панику может вызвать собственная тень. )))
🔥
A
18:40
Или те же цвета, с нарастающего красного.
ДД
18:41
Денис सेवक सेवकाः Динанатх Гопал Дас
Ну все таки хочется чтобы все красиво было, если меняется цвет - то он весь менялся а не кусками.
18:42
Мне и стек не очень нравится... Ну как то глючненько. Но тут больше никак не выведешь хоть какую то информацию. Все таки 512 байт это очень мало для сразу двух загрузчиков в одном.
Ю
18:46
Юрий Ларин
Можно всё скинуть в область до 8000h, хоть это ограничит систему до 31кб, но я такие не встречал.
ДД
18:48
Денис सेवक सेवकाः Динанатх Гопал Дас
Я так и сделал. теперь кэщ начинается с 7800H, для КД его как раз хватает, для HDD в 4 раза больше чем нужно, тем не менее. Ну и там еще байт 8 перед 7800H - переменные разные.
👍
Ю
18:48
Вряд ли системы 31к будут иметь место.. Все что мне извесны в районе 12 - 18 кб.
Ю
18:56
Юрий Ларин
In reply to this message
Для ХДД кэш нужен только для считывания параметров загрузочной области, после этого он может быть затёрт.
18:59
In reply to this message
Теоретически, это могут быть не только системы, там может быть записана любая программа, даже игра. Но маловероятно, что кто-то станет это делать, лучше добавить ту же игру в автозапуск.
ДД
19:01
Денис सेवक सेवकाः Динанатх Гопал Дас
In reply to this message
Это да.. Для кд вроде тоже кэш нужен только для поиска файла os.com, а при чтении файла в ОЗУ с 0000h кэш уже не используется.
19:01
Кроме нескольких переменных перед 7800h.
19:02
Вот их можно закинуть типа в стек на экран.
19:03
Тогда можно будет что то около 50 Кб загружать. Правда после 48 кб все зеленым мусором на экране будет видно.
Ю
19:06
Юрий Ларин
In reply to this message
Не, при загрузке с КД в кэше запись директории хранится, оттуда берутся номера треков для чтения в память.
ДД
19:07
Денис सेवक सेवकाः Динанатх Гопал Дас
In reply to this message
Я этот момент пропустил...
19:08
А, да, кд же не весь в доступе а кусками по 16 кб... Или по 32 если поддерживается переделка баркаря.
Ю
19:10
Юрий Ларин
In reply to this message
Через стек кусками по 64кб, но с КД за раз читается по одному треку. Там же файловая система...
19:12
1 трек = 8 секторов по 128 байт = 1кб за раз, насколько я помню.
ДД
19:13
Денис सेवक सेवकाः Динанатх Гопал Дас
Да, 800h читается.
19:13
Это 2 кб...
19:13
В кэш читается два трека получается?
Ю
19:15
Юрий Ларин
Может там 16 секторов в треке?
ДД
19:16
Денис सेवक सेवकाः Динанатх Гопал Дас
Я про кд вектора мало что знаю ))) Это первый опыт работы с КД.
19:17
Ну физически как это в целом понятно, через 16 кб область. Или 32к. А вот как файловая система построена я сильно не разбирался.
Ю
20:17
Юрий Ларин
In reply to this message
Не, для доступа к файловой системе используется только режим "стек", там доступно 4 банка по 64 кб, не 16 или 32. А как файловая система на КД устроена у меня есть шпаргалка, но она не с собой -- завтра могу глянуть.
👍
AA
ДД
31 May 2023
Ю
10:34
Юрий Ларин
Формат Квази-диска МДОС:
00000-39FFF -- ФС
3A000-3DFFF -- подэкранная область
3E000-3E7FF -- ФС
3E800-3EFFF -- каталог диска (2 трека)
3F000-3FEBF -- контрольные суммы
3FEC0-3FFFF -- не используется
Разбиение на треки/сектора:
236/8 по 128 байт, 1 трек = 1кб, отсчёт идёт от старших адресов (с пропуском подэкранной области):
0/1 = 3EF80-3EFFF;
0/2 = 3EF00-3EF7F;
...
235/8 = 00000-0007F.
ДД
10:59
Денис सेवक सेवकाः Динанатх Гопал Дас
In reply to this message
То есть то о чем я говорил - это подэкранная область.... Получается что этот формат другой для систем с поддержкой переделки баркаря... У меня пока что каша в голове. Ведь в любом случае все 256 к памяти квазидиска должны подключаться через окна в памяти вектора? Как это реализовано ? Не можно же через стек получать доступ сразу к 256к при способности процессора адресовать только 64к...
Ю
11:32
Юрий Ларин
In reply to this message
В ОС для КД Баркаря да, больше экранная область.

Доступ ко всему КД получается переключением банков памяти через порт 10h, их 4 х 64кб.
👍
ДД
ВК
11:43
Владимир Кузнецов
Доступ ко всему квазидиску получается включением стекового доступа в порте 10. При этом все операции со стеком вместо базовой памяти используют активированный банк квазидиска.
11:45
К слову в Турбо + я аналогичным образом сделал доступ на чтение из всего базового ОЗУ в режиме начального загрузчика. Таким образом появился полный доступ к затенённым ПЗУ начального загрузчика 32к.
Ю
11:51
Юрий Ларин
In reply to this message
Хорошая идея! Хотя, мне сложно представить, для чего можно применить такой доступ... Ну только если сделать полноцветный загрузчик и не портить в нём экран стеком. 🙂
ВК
11:57
Владимир Кузнецов
In reply to this message
Для Турбо+ это используется в аппаратном отладчике,
👍
Ю
1 June 2023
ДД
11:52
Денис सेवक सेवकाः Динанатх Гопал Дас
Коллеги, пытался упорядочить имеющююся информацию по расположению данных на дискетах и на HDD, получилось два файла текстовых. Естественно остались вопросы, если кто то что то знает на этот счет, пожалуйста, давайте соберем инфу в кучу, чтобы была исчерпывающая картина.

И так, первое что мне не понятно, точнее частично понятно - это информация о размещении загрузочной области, там отведены под данные 80H - по работе HDD загрузчика понятно что первое число там это место где на диске записан первый байт загрузчика, дальше там же должны быть количество блоков, и расположение следующих блоков.

И второе что не понятно, это таблица размещения файлов. Есть ли у кого то подробная спецификация на эту таблицу ? Там ведь та же тема, каждый элемент таблицы с названием файла содержит информацию о начале записи блока, или нескольких юлоков, о продолжительности, скорее всего о следующем блоке... Ну так абстрактно. В целом, можно посидеть в дебагере и все это посмотреть.. Но все же уверен, что многие имеют знания на эту тему и могут просто дописать их в файл. ПОтом по этому файлу я сделаю графику, чтоб было наглядно и понятно.
11:54
Кстати та информация, о которой я вопрошаю - она универсальна и для HDD и для FDD одинакова. Так что задача в целом не глобальная )))
A
11:58
Alexander
С разбегу — заголовок одной записи https://github.com/svofski/vector06js/blob/master/src/fddimage.js#L16 Там же и всё остальное можно при желании разгрести.
🔥
AA
ДД
12:01
struct Record {
u8 user;
char file[0x08];
char ext[0x03];
u8 extent;
u8 unknown1;
u8 unknown2;
u8 records;
u16 fat[0x08];
};

struct Sector {
u8 data[0xFF];
};

struct Image {
u8 boot[0xA000];
Record index[0x80];
Sector data[0x10];
};


Image image @ 0x0;

fn ClusterDecode(u16 cluster) {
track = 8 + (cluster / 5);
head = track % 2;
track >>= 1;
sector = cluster % 5;
offset = track*1024*10+head*1024*5+sector*1024;
};

Эт я пытался в ImHex паттерн накидать, но это было давно и неправда :) Функция, скорее всего не работает :) У меня было много вопросов про "бут сектор", что там лежит, зачем...
👍
ДД
12:08
Блин, где то ещё были исходники плуга для фара от Артёма Навалона... Не могу нагуглить.
12:11
Ну и у нас же тут есть целый разработчик SteinBlume, вот кого можно потеребонькать :)
A
12:38
Alexander
In reply to this message
Во, точно ж. В базисе :)
👍
ДД
r
14:06
reddie
In reply to this message
Денис, а в чем набиваются тексты? что у этих, что у ранее выложенных отсутствует CR+LF, виндовыми просмотрщиками открывается полотно текста безо всякой разбивки...
ДД
14:17
Денис सेवक सेवकाः Динанатх Гопал Дас
Это КАТЕ но под винду.
14:18
По формату идентичка линуксовым редакторам.
14:19
Сама kkate открывает с той разбивкой, которую я задал. Блокнот кстати тоже ))
r
14:25
reddie
In reply to this message
не очень читабельно в блокноте... =)
NZ
14:28
Nikita Zimin
In reply to this message
Проблема кодировку концов строк сменить? Почти в любом редакторе.
Например, в VSCode открыл файл, кликнул внизу на LF, выбрал CRLF, сохранил
r
14:29
reddie
In reply to this message
ну обычно или c cr+lf, или cr, а чтоб один lf - это редкость
NZ
14:31
Nikita Zimin
На Win \r\n, на Linux \n, на Mac \r
14:40
Deleted Account
In reply to this message
14:40
все читаемо, господа.
А
15:33
Алексей Шевцов
In reply to this message
15:33
15:33
Так вроде дискета разбивается на Векторе.
ДД
18:38
Денис सेवक सेवकाः Динанатх Гопал Дас
In reply to this message
Да, все верно.
ДД
19:43
Денис सेवक सेवकाः Динанатх Гопал Дас
Дорогие коллеги, есть кто то из Москвы, кто мог бы прошиить ПЗУ 556РТ5 и имеет саму ПЗУ ? Нужно прошить новый загрузчик, для коллеги из Москвы, кто то сможет ?
2 June 2023
ВК
00:05
Владимир Кузнецов
Это не конкретно про Вектор, но всё что касается формата директории диска тут подробно изложено.
👍
A
ДД
ДД
19:35
Денис सेवक सेवकाः Динанатх Гопал Дас
Дополнил по таблице размещения файлов, тут все понятно. Много непонятного по загрузочной записи. Точнее там всего два числа нужно и достаточно, описал, смещение и количество блоков, в целом, загрузчик только их вытаскивает, вроде остальное рассчитывает. Зачем там еще куча чисел не понятно, но зачем то же нужны....
👍
EK
Ю
ВК
22:48
Владимир Кузнецов
👍
ДД
A
3 June 2023
ДД
05:11
Денис सेवक सेवकाः Динанатх Гопал Дас
Правильно я поимаю, что физический сектор это блок ? На всех имеющихся дискетах он 1 кб. А сектор фактический* 512б. Именно по этому содержимое байт 04 и 05 умножается на 2?
05:12
Или это что то другое ? )))
Ю
07:25
Юрий Ларин
In reply to this message
Тут всё сложно... Есть представление СР/М о структуре диска, это "Треки" и "Сектора". И есть физическое разбиение диска, куда добавляется ещё "Сторона" (или "Головка" у жёсткого диска). Ну и размер сектора на дискете можно сделать любым и чаще всего это 1кб (у Вектора), а у жёсткого диска он фиксирован на 512кб. Соответственно, в БДОС МДОС делается конвертация из одного в другое.
👍
ДД
07:28
Да, ещё сектор в СР/М не равен сектору на диске/дискете.
👍
ДД
ВК
13:27
Владимир Кузнецов
Физичнский сектор - это как на диске записано, в случае Вектора 1кб. Логическмй сектор (или запись) - 128 байт. На 8 дюймовых дмсках такой был физичнский снктор, так и застолбилось. Блок или кластер - совокупность смежных секторов, адресуемая ОС как единый элемент. Номера этих блоков пропмсываются во второй половине FCB .
13:28
К слову размер блока может быть разным, но в одном экстенде всё равно должно быть 16кб.
ДД
16:56
Денис सेवक सेवकाः Динанатх Гопал Дас
Коллеги, а кто писал под mc в linux приблуду, которая открывает образы диска для вектора и побитную копию HDD ? Нужна помошь по приблуде :)
17:00
Не пользовался какое то время, а шас пробую, образы дисков открывает, а образ HDD не открывает...
17:03
Может есть описание какое то, на гит хабе может... Я пытался найти, но как то не получилось.
17:03
Раньше помню открывал образы..
Ю
17:09
Юрий Ларин
Ещё есть плагин для far для открытия дисков, и он работает, вроде. Только ему far нужен старый, версии 1.7 или около того.
ДД
17:12
Денис सेवक सेवकाः Динанатх Гопал Дас
Разобрался с приблудй, просто, расширение bin надо было сменить на hdd. Нашел на гитхабе.
17:12
In reply to this message
У меня FAR 3.0
17:13
Да норм, линух на bananapi всегда под рукой по ssh.
Ю
17:13
Юрий Ларин
In reply to this message
Это не проблема, можно поставить оба.
ДД
17:17
Денис सेवक सेवकाः Динанатх Гопал Дас
Вот еще добавил некоторые моменты, включая то что вчера появилось. Вроде исчерпывающая инфа, сегодня проверял, реально все вычисляется и приводит туда куда надо по этим цифоркам.
17:17
In reply to this message
Та не, mc хватит. Благодарю!
Ю
17:27
Юрий Ларин
In reply to this message
Хочу заметить, что формат HDD полностью совпадает с дискеткой на 820 кб, только там на диске вторая и все последующие "дискетки" с обрезанной загрузочной областью. Единственное, что следует указать для HDD в этом файле, это второй сектор с конфигурацией диска и как размещены "дискетки", а про остальное сослаться на fdd.txt. 🙂
17:31
Кстати, из конфигурации HDD со второго сектора сейчас актуально только количество дискет, всё остальное в новых версиях ОС уже не используется.
🔥
ДД
ДД
17:34
Денис सेवक सेवकाः Динанатх Гопал Дас
In reply to this message
Там вроде так и есть, ... таблица разм. фйлов дискеты N, область расположения N ... таблица разм. фйлов дискеты N+1, область расположения N+1 .....
17:34
Одну скобку пропустил в предидущем, тут поправил.
М
18:49
Михаил Алещенко
In reply to this message
FAR 3/0 плагин работает нормально Всё читает пишет удаляет fdd edd hdd...
18:51
IMG imA тоже
4 June 2023
YS
06:16
Yura Sergienko
Прибирался в гараже, нашел прикольное письмо:
🔥
ПК
Г
AF
7
06:17
В местной газете было объявление, что проводится конкурс хаккеров по взлому программ на "Вектор". Я им отправил свои нароботки по бессмертиям в играх.
👍
BF
AA
ДД
5
L
06:46
LeoN
30 (!!!) лет прошло, а как сохранилось.
r
08:47
reddie
интересно, что написано спектрумисту, технологии "хаккерства" несколько различаются все же))
5 June 2023
Ю
16:07
Юрий Ларин
In reply to this message
👍
ДД
16:08
In reply to this message
Немного порихтовал файлики и объединил инфу.
ДД
16:23
Денис सेवक सेवकाः Динанатх Гопал Дас
In reply to this message
Супер, все четко. Спасибо !

Я чуть математики добавил еще, в целом можно разместить тоже.

Для HDD:

. Найти нужную дискету на диске: (С4400*(N-1))+A400=Yh смещение на диске, которое соответствует началу N дискеты.
. N - номер дискеты в HEX (16 ричной системе счисления).

. Вычислить адресс и размер файла на диске: Длинна записи RC(Xh)*80h; И адресс каждого АЛ,
. если они не подряд... ((АЛ1(Xh)-2h)*800h)+B400h+((N-1)*C4400h)=Yh Входная точка. и так далее.
.
. (N-1)*C4400h+B400h - смещение в зависимости от номера дискеты на область хранения данных.
.
. (N-1)*C4400h+A400h - смещение в зависимости от номера дискеты на таблицу размещения файлов.

Для себя оставлю на двух файлах.
👍
Ю
Ю
17:08
Юрий Ларин
In reply to this message
Немного не понял по вычислению размера файла, там же просто надо умножить значение RC на 128 (размер сектора в СР/М), а если записей файла больше одной, то просуммировать значения из всех записей.
17:11
Что такое там Xh?
17:20
Вообще, вся перечисленная математика для HDD равна математике для FDD плюс смещение на начало дискеты.
NZ
17:24
Nikita Zimin
Правильно ли я понял, что жёсткий диск Вектора рассматривается как N дискет? и эти дискеты это отдельные каталоги, или же содержимое всех дискет сразу логически рассматривается как один большой каталог?
Ю
17:28
Юрий Ларин
In reply to this message
Да, как Н дискет по 820кб.
17:29
Там нет каталогов с дискетами, всё сделано на самом низком уровне -- просто доступ к секторам диска, которые поделены на участки по дискетам.
17:31
Переключение между дискетами -- просто изменение номеров секторов диска, к которым идёт обращение.
NZ
17:31
Nikita Zimin
То есть это общий плоский каталог, без под-каталогов получается.
Ю
17:32
Юрий Ларин
Там нет общего каталога. Просто номера секторов диска.
17:38
В общем, всё это было придумано ещё до того, как появились разделы на диске, mbr, fat и прочее.
ДД
17:44
Денис सेवक सेवकाः Динанатх Гопал Дас
In reply to this message
Да. Xh это RC, так я для себя пометил что в HEX число.
17:45
In reply to this message
Да, мне проще это в разные файлы разнести и сформировать готовые формулы, чтобы не думать дискета это или HDD, а просто брать разные формулы.
Ю
17:47
Юрий Ларин
In reply to this message
Да, кому как удобнее, но по сути там всё одинаково... 🙂
ДД
17:48
Денис सेवक सेवकाः Динанатх Гопал Дас
In reply to this message
Да, я понимаю.
L
18:20
LeoN
In reply to this message
Да ладно! 😳
MBR появилась в 1983 году, задолго до появления Вектора вообще. https://ru.wikipedia.org/wiki/Главная_загрузочная_запись
А FAT ещё раньше - https://ru.wikipedia.org/wiki/FAT

Просто "заточенность" дискового програмья Вектора именно под дисковод (а это МикроДОС и CP/M [хотя в MBR допускаются разделы CP/M]), то есть отсутствие расширенной ОС с поддержкой различных дисковых устройств и породило эту проблему.
Так же и в АГАТе. Более того, существовал блок КНЖМД+НЖМД "Сада" (четыре девятки, что это MFM), но ничего конкретного толком неизвестно... Но у АГАТа и операционки были, которые могут поддерживать и HDD, и подкаталоги.
Ю
18:50
Юрий Ларин
In reply to this message
Хорошо, убедили. Я считал, что MBR до СР/М 3 ещё не было, да и по Вашей же ссылке на википедии пишут, что она применялась начиная с PC DOS 2.0...
ВК
18:51
Владимир Кузнецов
Просто для поддержки FAT и подкаталогов надо значительно модифицировать операционку, проще было такой вот эрзац вставить.
18:56
В последних версиях CP/M вполне себе совместили файловые системы. Для того чтобы работали старые программы сделали специальный формат FCB, которая в первой половине точная копия CP/Mной, а во второй половине добавлены плюшки от FAT
L
18:57
LeoN
MSX-DOS=CP/M+FAT
ВК
18:58
Владимир Кузнецов
; FCB в режиме совместимости
; В режиме совместимости с дисками FAT значения EX,S1,S2 и RC вычисляются из данных FAT
;DR F1 F2 F3 F4 F5 F6 F7 F8 T1 T2 T3 EX S1 S2 RC .FILENAMETYP....
;C0 FL OF C1 CC CC CI CI DD DD CL CL LE LE LE LE ................
;
;DR - Drive.
;EX = simulated extent number, 0-31.
;S1 = Last record byte count.
;S2 = simulated extent number, high bits.
;RC = simulated record count.
;FL = flags:
; b7 always set (thus "block" number is either >80h (8bit blocks) or >8000h (16bit blocks)
; b6 set if file is a directory (only shows up with user "?" in search FCB, or if bit 7 is set in FCB "drive" byte)
; b5 set if file is hidden
; b4-b0 are high bits of file number
;OF = file number, low 8 bits. Number is 0 for 1st dir entry, 1 for 2nd, etc.
;CC = current cluster, 0 if none. Изначально при открытии файла для последовательного чтения CC = CL
;CI = index of current cluster (0, 1, 2, ...) in file chain. Only meaningful if CC is nonzero.
;DD = DOS date
; |F|E|D|C|B|A|9|8|7|6|5|4|3|2|1|0| (reverse order)
; | | | | | | | | | | | `--------- day 1-31
; | | | | | | | `---------------- month 1-12
; `----------------------------- year + 1980
;CL = DOS cluster - Номер первого кластера в цепочке
;LE = DOS length - Размер файла в байтах
Ю
18:58
Юрий Ларин
In reply to this message
К сожалению, последние версии СР/М не были портированы на Вектор, а то это бы существенно упростило бы сейчас задачу перехода на ФАТ.
ВК
19:03
Владимир Кузнецов
Между тем FAT во многом проще для программирования и более экономичен в плане хранения заголовков файлов.
Ю
19:12
Юрий Ларин
In reply to this message
Насчёт проще, я бы так не сказал, они примерно сопоставимы по сложности. Я начинал как-то писать драйвер для ФАТ, и он даже работал на Векторе, но само его внедрение в МикроДОС -- не фунт изюма...
r
19:14
reddie
на спектрумах (скорпионах, точнее) в 90-е тоже подключали HDD как набор дискет, это сильно упрощало работу существующего софта. в теневом сервисе образы дискет "вставлялись" в дисковод, и софт, работающий через стандартную точку входа, думал, что имеет дело с флопиком
👍
L
19:15
любые нестандартные софтины, естественно, обламывались
ВК
19:16
Владимир Кузнецов
In reply to this message
Определённо проще искать свободный кластер, не нужно плодить каждые 16кб новый заголовок со всеми потрохами. Я даже затрудняюсь сказать где CP/M ный формат имеет преимущество
r
19:17
reddie
In reply to this message
искать, может, и проще, но обработка большого раздела с кучей мелких кластеров может занять длительное время
ВК
19:18
Владимир Кузнецов
In reply to this message
Не совсем понимаю почему. Тут достаточно читать таблицу ФАТ, а в CP/Mе нужно шерстить весь каталог
Ю
19:19
Юрий Ларин
In reply to this message
Переход по директориям ещё требует дополнительный буфер, и свою логику на работу с ними.
19:20
In reply to this message
В СР/М каталог совсем небольшой, по сравнению с ФАТ.
19:22
И он расположен в фиксированном месте, а не в любом, как у ФАТ (не считая корневого).
ВК
19:24
Владимир Кузнецов
Ну так это потому, что большой каталог CP/M будет совсем уже плохо работать. Собственно основное отличие ФАТ и состоит в вытаскивание цепочки кластеров из заголовков файлов в единую таблицу. Что позволило ввести механизм подкаталогов и освободило место в FCB под нормальное хранение атрибутов, дату/время и точный размер файлов.
r
19:24
reddie
In reply to this message
вот тут можно поглядеть применительно к спектруму, как раз про фат32 и трудности (см. оглавление) http://www.nedopc.com/ARTICLES/NedoPC_6.pdf
19:25
ну и, само собой, когда файлов будет несколько сотен (или даже тысяч) - комп тупо зависнет на минуту и больше, обрабатывая данные
ВК
19:27
Владимир Кузнецов
Ну понятно - скорости не хватает. По этой же причине нужды в ФАТ32 нет от слова совсем. ФАТ12 и 16 за глаза хватит
👍
Ю
Ю
19:28
Юрий Ларин
In reply to this message
Да несомненно, система ФАТ лучше, но я сомневаюсь, что проще.
19:29
In reply to this message
Я бы даже сказал, что и фат12 не нужна, хватит только 16.
ВК
19:30
Владимир Кузнецов
Она проще хотя бы потому, что не содержит лишние сущности - дубли записей экстендов. В ФАТ всё линейно - берёшь первый кластер файла и гонишь до конца.
Ю
19:31
Юрий Ларин
ФАТ12, как мне показалось, даже сложнее в реализации из-за сдвига на 4 бита в таблице размещения кластеров.
ВК
19:31
Владимир Кузнецов
ФАТ12 используется для носителей небольшого размера Согласно спецификации от Микрософт
r
19:32
reddie
тех самых дискет))
Ю
19:33
Юрий Ларин
In reply to this message
Ничто не мешает применить на дискетах ФАТ16. 🙂
19:34
И микософт тут нам не указ...
ВК
19:36
Владимир Кузнецов
In reply to this message
Я стараюсь следовать разумным стандартам
Ю
19:39
Юрий Ларин
In reply to this message
В своё время я форматировал дискеты даже в HPFS, и они отлично работали, а с ФАТ16 тем более будут, так что стандарты всякие могут быть.
ВК
19:43
Владимир Кузнецов
В 128 прочитанных байтах в ФАТ16 у тебя 64 кластера записано, а в ФАТ12 - 96. Элементарная экономия памяти и исключение каждого 3 чтения таблицы ФАТ
ДД
19:48
Денис सेवक सेवकाः Динанатх Гопал Дас
А зачем вектору фат? Ну какая бы она не была, 12 или 16 или 32 ...
r
19:49
reddie
In reply to this message
ну как зачем. взять сд-карту и записать-читать файлы на пц напрямую, не извращаясь с какими-то конвертациями
👍
Д
ВК
ВК
19:49
Владимир Кузнецов
In reply to this message
1 Для прямого обмена файлов с ПК
2 Для подкаталогов
3 Для нормального доступа к винчестеру
ДД
19:51
Денис सेवक सेवकाः Динанатх Гопал Дас
М... Пока не чувствовал необходимости в этом )))
r
19:51
reddie
ну это пока)
ВК
19:52
Владимир Кузнецов
GetNextCl_F12: ; FAT12
ld d,h
ld e,l
srl d
rr e
push af ; Сохраняем флаг переноса (признак нечётности номера кластера)
add hl,de ; hl - номер кластера * 1.5 - Смещение в байтах на номер кластера в FAT12

GetNextCl_F12_1:
pop af
ld a,h
jr nc,GetNextCl_F12_2 ; Номер кластера чётный, используем младшие 12 бит
; Нечётный
rra ; Используем старшие 12 бит
rr l
rra
rr l
rra
rr l
rra
rr l ; Сдвигаем на 4 бита вправо
GetNextCl_F12_2:
and 0fh
ld h,a ; hl - номер следующего кластера

Вот и вся нахлобучка для FAT12 относительно FAT16
r
19:52
reddie
спектрумисты, например, давно распробовали удобство обмена с пц напрямую, не мучаясь с конвертацией
ДД
19:54
Денис सेवक सेवकाः Динанатх Гопал Дас
In reply to this message
Не думаю что сильно что то поменяется тут. Разрядность процессора и частота вряд ли увеличится, количество памяти тоже. А те файлики по 1... 30 кб которые запускаются на векторе, сохранять их на фат 32 расточительно как минимум )))
19:55
In reply to this message
Есть плагины под мс и под фар, там все налету, никакой конвертации ощутимой не происходит.
r
19:56
reddie
In reply to this message
ну сконвертим мы на пц, а дальше как?)
ДД
19:57
Денис सेवक सेवकाः Динанатх Гопал Дас
In reply to this message
А что именно там дальше? Максимум зачем нужно на PC - чтобы эмулятору подсунуть, или из ассемблера на дискету сунуть. Зачем еще на PC файлы с вектора?
19:59
In reply to this message
И вот в фаре в образ HDD 128 mb и он за 2 минуты заливается на реальный диск Dom и вставляется в мультикарту.
r
19:59
reddie
ну не знаю... по-моему в разы удобней накидать в каталог на карте (или вообще на карту) кучу файликов в родном формате, например, музонов, не ограничиваясь размером дискеты/раздела, и с удобством слушать/смотреть их на векторе. правда, нужна еще софтина, умеющая работать с фат32 на векторе
ДД
20:00
Денис सेवक सेवकाः Динанатх Гопал Дас
Если плагин научится работать прямо с HDD вектора через usb-ide то будет на 2-3 минут быстрее.
20:01
In reply to this message
Сокращает время на 2-5 минут, требует пару лет написания кода и исследований, изготовления аппаратных Девайсов и т.д....
r
20:03
reddie
какие еще аппаратные девайсы? жесткий подключается как иде? значит, не нужно ничего переделывать
20:03
весь вопрос в софте)
ВК
20:03
Владимир Кузнецов
Если рассматривать Вектор только в эмуляторе - разницы немного. А вот мне с неэмулированным компом удобнее напрямую файлы переписывать. Без искусственных прокладок.
r
20:04
reddie
In reply to this message
именно так
ДД
20:04
Денис सेवक सेवकाः Динанатх Гопал Дас
In reply to this message
А sd карта как к вектору подключается?
r
20:04
reddie
In reply to this message
sd-ide переходник
20:04
можно и цф-карту воткнуть, не суть
20:04
мы ж про фат32, а не конкретный носитель
ДД
20:07
Денис सेवक सेवकाः Динанатх Гопал Дас
In reply to this message
Тут я иду по принципу оценки затрат. В целом мне сейчас даже не нужно никаких плагинов, сегодня я напрямую из образа вытаскивал нужные файлы и потом писал их измененные назад. А чтобы притянуть на вектор фат, сотни часов работы понадобятся. Понятно удобно, ну на 2 минуты быстрее допустим ))) и все..
ВК
20:08
Владимир Кузнецов
Подкаталоги, время/дата
ДД
20:08
Денис सेवक सेवकाः Динанатх Гопал Дас
In reply to this message
На 99% векторов нет часов...
20:10
Да и подкаталоги сомнительное веяние. Без них 30 лет все работало.. А потом весь софт напрямую работающий с HDD отвалится стазу...
20:10
И что тогда от вектора останется..
r
20:10
reddie
в целом-то понятно, что на текущий момент у Вектора просто нет потребности в объемных хранилищах данных: видео он не играет, музыку пцшных форматов тоже)) поэтому и преимущества фата, тем более 32, не столь очевидны
ДД
20:11
Денис सेवक सेवकाः Динанатх Гопал Дас
In reply to this message
Ну вот я примерно об этом. По мне так цеплять к вектору фат 32 это типа как к велосипеду ждвагон...
20:13
То ли дело если бы речь шла о более быстром процессоре с возможностью запуска всего что было на векторе.
20:14
Но это абстракция...
r
20:14
reddie
In reply to this message
для спектрумов еще в 90-х была разработана и пошла в массы (хоть и туго поначалу) звуковая карта, играющая MOD-файлы, а также звуковые сэмплы, и проблема размера носителя стала очевидной. разбивать жесткий на пятьсот раздельчиков-дискет с одним-двумя МОДами в каждом не очень-то перспектива =)) поэтому в 2000-х освоена работа с фат32 разделами напрямую
20:14
и моды это лишь одно направление
Ю
20:14
Юрий Ларин
Сделать на Векторе сеть с доступом к какому-нибудь сетевому диску и переброска файлов будет такая же простая, как с СД-диском на ФАТ. 🙂
20:15
В том числе и хранение МОД.
r
20:15
reddie
In reply to this message
сперва ГС надо подключить))
ДД
20:16
Денис सेवक सेवकाः Динанатх Гопал Дас
In reply to this message
Вот это решение вроде трудозатрат гораздо меньше в себе несет, а выхлоп побольше будет. Тут хоть репозитории сетевые со всем софтом.
Ю
20:18
Юрий Ларин
И в интернет выйти можно...
20:18
Качать файлы прямо с Базиса.
ДД
20:20
Денис सेवक सेवकाः Динанатх Гопал Дас
Еще, как вариант, если сделать какую то таблицу, которая через драйвер будет сохранять имена для каждой дискеты на HDD то можно представить весь хдд как один диск с папками с ограниченным размером. Ну это лирика. Хранить эту таблицу можно во втором секторе например хард диска и в остатке первого.
r
20:20
reddie
ну это возврат к описанному где-то выше варианту, набор дискет
ДД
20:21
Денис सेवक सेवकाः Динанатх Гопал Дас
In reply to this message
Это не возврат. Это реальность ))) так оно и есть сейчас.
20:24
Но это мера, которая чисто психологически сможет уменьшить сложность, то есть пользователь не будет помнить что у него на дискете 0Dh дубликат системного диска с утилитами, а сможет это прочесть в неком менеджере или листинге дисков.. И так скоро мозг человека может скоро высохнуть от отсутствия работы ))))
20:24
А вообще, лучше конечно упражнять мозг ))))
20:27
И в репозитории примерно такую организацию сделать, чтобы через какой то модем срм коннектился к "внешнему накопителю". Тогда ничего выдумывать не нужно будет. Просто объяснить php на сервере что данные выдаются согласно таблице hdd.txt ))))
NZ
20:34
Nikita Zimin
Если уж это всё с PC берётся — можно на PC читать каталог "Базиса" и давать с Вектора выбрать карточку, почитать описание и тут же — загрузить и запустить игрушку :)
ДД
20:34
Денис सेवक सेवकाः Динанатх Гопал Дас
Ну и на этом сервере первая дискета например будет содержать текстовые документы в которых можно интерактивно найти описания и т.д. по обновлениям, какие то файлы "чатов" которые через простые приложения способные их оперативно обновлять и добавлять в них сообщения будут выводиться на экран вектора.
20:34
In reply to this message
Или так...
20:37
Ну то есть я думаю что все это должно быть реализуемо из того что есть с небольшими доработками и времязатратами, работать на всех векторах и подобных, и ... ну тут максимум сложности это девайс, который для вектора будет притворяться жестким диском а с другой стороны висеть на каком то ip например.
20:40
Как вариант, этот девайс в каком-то диапазоне будет из себя ещё и физический HDD изображать, с возможностью доступа по сети.
Ю
21:43
Юрий Ларин
Можно изображать не HDD, а, например, ПЗУ в порту ПУ. Или ещё вариант -- возродить связь через порт LPT с ПК на ПУ Вектора, некие драйвера к нему даже есть. Или вместо ПК можно взять ту же ESP и сделать канал передачи по WiFi -- вариантов много...
6 June 2023
ДД
03:56
Денис सेवक सेवकाः Динанатх Гопал Дас
In reply to this message
Да, можно и так. Софта правда много нужно будет написать. Даже для получения файла и записи его на диск нужен софт. Тогда как если работать через файловую систему непосредственно, вектору софт почти не нужен, все генерится на PC и отдается вектору по запросам как к hdd. Ну теоретически возни на векторе меньше. И то же самое, esp с набором регистров и логики портов с ide разъёмом, то же самое получается, только для вектора все это не отличается от работы с HDD, и не требует софта. А у любого PC хватает с запасом быстродействия чтобы всем этим управлять. По запросу оси вектора выдается нужная инфа в формате жесткого диска вектора.
Ю
07:11
Юрий Ларин
In reply to this message
Но почему именно ХДД? На Векторе не так много программ поддерживают жёсткие диски, может лучше тогда заменить флоповод?
ДД
07:20
Денис सेवक सेवकाः Динанатх Гопал Дас
Потому что на флоповоде только один диск. А я в начале писал, что если сделать таблицу дисков и название для каждой дискеты на HDD то получится некоторое подобие большого корня с папками. И там уже можно разделить все на инфо диск, диски с программами и т . д. С дискетой такая структура не получится, и ещё, дискета требует вг93, она дорогая, контроллер HDD требует 5 микросхем логики, а в варианте с есп32 вообще можно парой защелок обойтись.
07:21
Флоповод в идеале можно изображать этим же esp. Только логику для портов добавить.
Ю
08:00
Юрий Ларин
In reply to this message
Это не проблема, на внешнем устройстве можно эмулировать замену дискеты. И ВГ93 давно пора уже в плис загнать.
08:02
А если подходить с точки зрения упрощения внешней схемы, то для провода ЛПТ-ПУ вообще можно без микросхем обойтись.
ДД
08:18
Денис सेवक सेवकाः Динанатх Гопал Дас
In reply to this message
Да, но софта под такой вариант нет, а под пользование жестким диском он исчерпывающий.
Ю
08:36
Юрий Ларин
In reply to this message
Под жёсткий диск есть РДС 3 и МДОС 3.1Н, плюс модернизированный Т-72. Т.е. всё можно пересчитать на пальцах одной руки токаря-инвалида. 🙂 Под ЛПТ есть, как минимум, драйвер для монитора-отладчика -- тоже не густо, но его можно развить до отдельной программы под МДОС/РДС и получить более универсальную вещь, чем три операционки.
08:39
А ещё загрузку с ЛПТ поддерживает тимсофтовская прошивка.
ДД
08:42
Денис सेवक सेवकाः Динанатх Гопал Дас
In reply to this message
Не, я не про тот софт. Имея хард диск генерируемый полностью с сервера на PC мы вообще не нужнаемся ни в каком другом софте, только оговорить какая дискета о чем. На первом диске могут быть файлы с описанием, файлы чатов и т.д. и т.п. то есть даже необходимость в каких либо браузерах отпадает, достаточно текстового редактора, который есть встроенный например в VC. Загрузка опять же с загрузочного сектора, о котором можно договориться. Серверу или PC не составит труда генерить "образ диска" для сотен компьютеров в сети одновременно. То есть по большому счету, нужжно имеь только контроллер жесткого диска, или даже генерить его ESP.
08:44
Максимум что нужно, это возможно какой то специальный раздел для того чтобы некий драйвер в системе отождествлял номер диска с названием имеющимся в этом разделе. Думал, что можно разместить эту даблицу на 1 и 2 секторах, но там маловато места. Можно под нужды этой таблицы использовать последнюю дискету образа.
08:44
Но это не обязательно, потому что можно в инфофайле на первом диске просто все описать.
08:46
Способ конечно абстрактный, и нигде не применялся еще. Но сложность реализации совсем не большая. Ну то есть в плане изменений на векторе - вообще сложности никакой.
r
09:07
reddie
In reply to this message
на zxpk были подвижки по эмуляции ВГ, но не все там просто... в конечном итоге проще (и даже дешевле) пока ВГ родную ставить
Ю
09:11
Юрий Ларин
In reply to this message
В том то всё и дело, что это только так кажется, что софта не потребуется -- к контроллеру IDE тоже должен кто-то уметь обращаться... И всё перечисленное можно отдавать по ЛПТ -- и список каталогов вместо предложенных дискет, и файлы смотреть/качать. А из железа максимум для этого потребуется дешёвый китайский переходник ЛПТ-УСБ. И на самом Векторе можно продолжать параллельно пользоваться жёстким диском. Плюс к тому, порт ПУ поддерживается практически всеми эмуляторами, замутить канал связи будет проще, чем "эмулировать эмуляцию" диска. Вообще, проект ЛПТ-ПУ был незаслуженно забыт в своё время, можно было бы и поднять его снова.
ДД
09:57
Денис सेवक सेवकाः Динанатх Гопал Дас
In reply to this message
Да, под чтение с HDD понадобится только ось которая видит HDD. Таких осей как минимум три. Запустить из под этих осей реально любое приложение. Отпадает потребность в браузерах, да вообще ничего не нужно. И реальный HDD - тоже не проблема, например эмулироваться будет первая дискета и потом будет реальнй HDD и далее опять эмуляция, или как то так. То есть, все уже реализованно как клиентская часть. В свое время очень мудрым решением было использовать формат HDD в виде слепленных образов дискет. За счет этого вектор получил жесткий диск гораздо быстрее других персоналок... За счет этого же можно очень быстро реализовать и интерактив с сетевой поддержкой. И это будет простым и гениальным решением без излишних затрат по уровню железа.
Ю
19:40
Юрий Ларин
In reply to this message
19:42
Это именно то, что я предлагал развить до сервера с файлами, вместо того, чтобы подменять жёсткий диск...
19:45
Плюсы:
- Грузится прошивкой Вектора
- На первом этапе не надо писать программы ни под ПК, ни на Вектор
- Загрузка супербыстрая, быстрее только из картриджа на ПУ.
- Схема подключения проще, чем контроллер IDE
- ...
ДД
20:03
Денис सेवक सेवकाः Динанатх Гопал Дас
In reply to this message
Согласен. Интересная штука.
20:04
Но загрузчик же нужен тимсофт 2 кб в минимале? Или 06ц02 хотя бы. Стоковый 512к будет нуждаться в загрузке с магнитофона?
20:05
А так да, конструкция совсем не дорогая и не сложная.
Ю
20:10
Юрий Ларин
In reply to this message
Да, а это относится к минусам -- такая загрузка есть только в тимсофтовских загрузчиках, на 2 кб и 32 кб.
20:11
In reply to this message
Она может быть даже ещё проще, если на ПК есть аппаратный LPT-порт.
ДД
20:15
Денис सेवक सेवकाः Динанатх Гопал Дас
Но этот вариант дает возможность только загрузить приложение с PC или из сети. Интерактива в целом нет. Или можно за счет этого способа продумать например открытие каких то типа "сайтов" несложных?
Ю
20:27
Юрий Ларин
In reply to this message
Думаю, всего, чего угодно -- это хороший быстрый двунаправленный канал связи, на его основе можно любой интерактив развить, в пределах разумного, конечно.
Ю
22:36
Юрий Ларин
Думаю, есть два направления развития этого ЛПТ-ПУ: сделать некую оболочку, которая будет грузиться первой и будет выводить список файлов для выбора и запуска, и второй вариант -- двухпанельный коммандер типа ASC, запускаемый из любой ОС и показывающий в одной из панелей список файлов на подключённом ПК. Соответственно, со всеми функциями копирования, удаления, просмотра, запуска и т.д. Полный интерактив. 🙂
👍
ДД
7 June 2023
ДД
06:42
Денис सेवक सेवकाः Динанатх Гопал Дас
In reply to this message
Вариант с ASC по интереснее. Если бы еще ASC переделать в режим 512x256 )))
12 June 2023
L
18:02
LeoN
Зацените, плиз.

https://t.me/KOPBET8020/9660
🔥
АМ
BF
AF
8
14 June 2023
C
08:44
Crackintosh [MD] Сергей
Подскажите W32 версию для DOS IMDU (Image Disk Utility)
08:46
Пользую ImageDisk 1.19 [http://dunfield.classiccmp.org/img/]
Делаю образ *.IMD
Конвертирую утилитой IMDU.COM файл *.IMD в *.BIN
VV не грузит такие образы. Хочу проверить правильно ли считались данные
Ю
08:48
Юрий Ларин
А если открыть образ в хекс-редакторе и просто глазами проверить, что в этом образе?
08:50
Скорее всего в том же редакторе можно и подправить будет *.IMD...
C
08:50
Crackintosh [MD] Сергей
в IMD или BIN ?
08:51
BIN это результат конвертирования утилитой IMDU /B
Ю
08:51
Юрий Ларин
Смысл лезть в bin? Там неизвестно ещё что наконвертировано, лучше взять исходный образ, думаю.
C
08:55
Crackintosh [MD] Сергей
IMD и есть исходный файл. Но его надо как-то в эмулятор загрузить.
Эмулятор VV например хавает FDD формат только
Ю
08:57
Юрий Ларин
Ну вот надо заглянуть, что там есть, может просто какой-нибудь блок в начале отрезать надо в хекс-редакторе, или дописать...
08:58
Я сейчас на телефоне даже посмотреть не могу.
C
08:59
Crackintosh [MD] Сергей
Ю
08:59
Юрий Ларин
Но вижу, что imd по размеру меньше, чем bin, и это странно.
C
08:59
Crackintosh [MD] Сергей
Все делаю по инструкции DK_spb
Ю
09:01
Юрий Ларин
Вот загляните внутрь, что там получилось. Инфа по формату дискет есть же...
C
09:03
Crackintosh [MD] Сергей
Неее... IMD сохраняет очень много информации в процессе чтения реального флоппи. Ведет так называемый лог чтения.
09:03
Его нельзя использовать для эмулятора.
09:03
Как и сказал DK-SPB его надо конвертировать. Я так и делаю.
09:04
Но у меня полученый ROW BIN файл в эмулятор не грузится даже если егорасширение поменять на FDD
Ю
09:05
Юрий Ларин
Проще заглянуть внутрь, чем гадать и искать конвертер.
C
09:06
Crackintosh [MD] Сергей
Внутрь IMD файла?
Ю
09:07
Юрий Ларин
Да. Другой вопрос, почему бин почти на 190кб больше?
09:08
Размер исходной дискеты какой был?
C
09:09
Crackintosh [MD] Сергей
Не вижу смысла. DK_SPB написал, цитирую "IMD удобна тем, что в образе хранит лог что и как прочиталось. Обязательно включать режим FullAnalyses и, если есть сбойные сектора, последнее чтение делаю с сохранением Bad Data"

Т.е. в файле очень много доп инфы. Длдя этого и были написаны утилиты конверсии в другие форматы.

То что размер больше не страшно. Внутрений формат IMD может быть упакован.
09:09
In reply to this message
стандарт = 800
Ю
09:15
Юрий Ларин
In reply to this message
Вот. А выложенный тут IMD на 600кб, тут явно много не хватает, с учётом логов.
C
09:22
Crackintosh [MD] Сергей
Юра. Файл IMD это внутренний формат программы ImageDisk 1.19
Он может быть упакован, содержать логи и доп инфу. Не сохранять пустые масивы данных например и прочее. Забудь про него.
Для работы с образами IMD были написаны утилиты конвертации в ROW BIN и прочие.
Ю
09:22
Юрий Ларин
In reply to this message
А там точно есть упаковка?
C
09:23
Crackintosh [MD] Сергей
Конечно! Нафига держать лишнюю инфу в файле!
Ю
09:24
Юрий Ларин
In reply to this message
Я бы не был так категоричен. Большинство программ по снятию образа этого не делают.
09:26
Ну хорошо, допустим упаковка есть и бин-файл -- это распакованный вариант того же образа. Тогда смотрите что в нём и насколько оно соответствует формату дискеты Вектора.
C
09:27
Crackintosh [MD] Сергей
Вижу имена файлов... даже знакомые 😊
09:32
Предпологаю что дискеты не загрузочные и скорее всего надо загрузить Микродос, а потом перейти на образ дискеты и читать его
Ю
09:33
Юрий Ларин
In reply to this message
Отлично. Надо проверить, с какого смещения они начинаются и соответствует ли это инфе по формату флопа.
09:34
In reply to this message
Если они были не загрузочные, то да.
C
09:34
Crackintosh [MD] Сергей
09:35
0x2000
Ю
09:39
Юрий Ларин
In reply to this message
А должно быть 0хА000.
09:42
In reply to this message
Тут с 0х2000 совсем не список файлов начинается.
C
09:43
Crackintosh [MD] Сергей
09:45
А вот имена
Ю
09:48
Юрий Ларин
In reply to this message
Вот они должны начинаться с 0хА000.
09:50
Похоже, в начало надо дописать 800h байт, чтобы сдвинуть.
C
09:52
Crackintosh [MD] Сергей
Сейчас сделаю еще пару образов и загружу на ZX-PK
Интересно что dk_spb ответит.
Дискеты были использованы на реальном Вектор-06Ц
👍
Ю
C
12:11
Crackintosh [MD] Сергей
на диске стерли нулевую сторону нулевой дорожки😁
17 June 2023
L
13:44
LeoN
Есть у кого-нибудь TTL-матрица 1024х768 со шлейфом FPC 50 пин?
Нужна для опытов с народным контроллером-скалером.
С LVDS-матрицами никак не получается...
Ю
16:45
Юрий Ларин
In reply to this message
Есть вот такая матрица, только она 800х600:
16:45
16:46
Разъём:
18 June 2023
00:00
Очень круто для 8 бит
О
03:02
Олег Рубцов
Добрый вечер. Скиньте пожалуйста пару wav, гарантированно рабочих, с которых можно что-либо загрузить.
ДД
04:16
Денис सेवक सेवकाः Динанатх Гопал Дас
О
12:23
Олег Рубцов
Спасибо!
20 June 2023
Eugene Merclangrat invited Eugene Merclangrat
21 June 2023
ДД
12:11
Денис सेवक सेवकाः Динанатх Гопал Дас
Доброго вреемни коллеги. Попробовал для разнообразия плагин под фар. Работает на 3.0.
Не понял только как дискеты меняются когда входишь в образ HDD - показывает файлы первой дискеты, и как посмотреть 2 3 4 5 .... последнюю не очень понятно. Подскажите плз.
12:12
Ну или может ссылочку на описание закиньте )
12:16
Разобрался, та же схема, нужно IMG переименовать в HDD - тогда все правильно работает.
22 June 2023
ДД
10:14
Денис सेवक सेवकाः Динанатх Гопал Дас
Доброго вреемни коллеги !
Наковырял у себя программку которая собирает образы дискет в образ HDD. Наверняка автор тут присутствует. Хотелось бы узнать, на сколько проект получил развитие? Я как то пробовал им что то делать, но потом пошел по пути сборки вручную ан реальном оборудовании... Но это вроде работало. Хотелось бы узнать, на каком этапе проект ?
🔥
A
Ю
13:28
Юрий Ларин
In reply to this message
🙏
BF
ДД
23 June 2023
r
21:51
reddie
https://www.avito.ru/volgograd/nastolnye_kompyutery/personalnyy_kompyuter_vektor_06_ts_sssr_3220688169 вроде бы комплектный Вектор, кто желает - торгуйтесь
21:51
объява свежая
24 June 2023
S
01:22
SERJLTD
с каких пор он 25 стоит ?
СЦ
01:23
Сергей С. Вектор 06 Ц
Он и 60 стоил. На Авито объява была.
A
01:44
AKATLA
Сдурел народ! Софсем. Ему красная цена 7тыр. Это паралон.
S
01:51
SERJLTD
всёрвно я сказочно богат походу))
A
03:39
AKATLA
Я тоже, у меня их три и все с герконами!
СЦ
09:51
Сергей С. Вектор 06 Ц
In reply to this message
Красиво жить не запретишь. :)
r
10:23
reddie
три по 25 уже 75 😂
L
10:53
LeoN
In reply to this message
A
15:47
AKATLA
In reply to this message
Я не жирую, я их спасал от разграбления! :))))
👍
L
29 June 2023
MS
15:09
Mike Sh
Появилась группа для обсуждения реставрации ретро-компьютерной техники - налетайте! https://t.me/restore_not_save
1 July 2023
Aslan 🌍 invited Aslan 🌍
6 July 2023
А
11:26
Алексей Шевцов
Добрый день. Подскажите, есть у кого файлы прошивки микросхем К155РЕ3 для Вектор-06Ц?
L
11:49
Lespenefril
Присоединюсь к вопросу. Также хотелось бы для 556РТ5. У меня есть ксерокопия доки, но хотелось бы хекс или бин.
11:49
Ю
12:39
Юрий Ларин
In reply to this message
РТ5 есть в Базисе -- это стандартный загрузчик на 512 байт.
L
12:45
Lespenefril
Что такое Базис?
А
12:47
Алексей Шевцов
In reply to this message
L
12:48
Lespenefril
Понял, спасибо!
ДД
12:55
Денис सेवक सेवकाः Динанатх Гопал Дас
🔥
А
12:56
то же, ток с другого вектора ... Не отличается по идее...
12:57
как приеду, могу прошить, без проблем, и ре3 есть, и рт5 и стерх.
А
12:57
Алексей Шевцов
In reply to this message
Спасибо!
L
12:58
Lespenefril
О, Денис, дханяваад!
🙏
ДД
A
13:01
AKATLA
Я тоже могу прошить! И Стерха у меня нет, но могу!
13:02
Только РЕ3 нужно прожаривать сутки при 100 С
ДД
13:03
Денис सेवक सेवकाः Динанатх Гопал Дас
In reply to this message
Да, так бывает )) Это очень хорошо ) Разница только в том, что с Алексеем мы в одном городе живем, ну по крайнй мере будем жить когда я приеду туда ))))
A
13:03
AKATLA
Ну я так - на всякий! :))))
13:03
In reply to this message
Денис! Возвращайся!
ДД
13:05
Денис सेवक सेवकाः Динанатх Гопал Дас
In reply to this message
Я много таких историй слышал, один дедушка мне рассказал что в военных НИИ все РТ и РЕ - варили в кипятке сутки и после кто восстанавливался - тех снова шили и варили еще сутки )))
Но на опыте не одного не видел вернувшегося со временем чипа. Видел один который после удачного прожига сразу во время второй проверки показал отличие на один бит. И сразу прошился снова, и уже все норм. Но такого чтоб через время что то произошло не видел.
13:08
In reply to this message
Да, стараюсь. Думаю в начале следующего года приеду. Все, романтика закончилась, ко сему привык уже, работку контрактную по факту всю переделал, точнее от части отказались, проект поменялся. Просто мы тут в одно паломничество мега крутое записались, и оплатили, а оно аж в ноябре, не ездить же туда - обратно, это очень дорого. Сьездим в паломничество - и домой ))
👍
A
A
13:08
AKATLA
In reply to this message
Денис, я тот самый "дедушка" который шил РЕ3 и восстановления были - как раз в то время когда я работал в ННИФТРИ. Так что да, я ДИНОЗАВР!
ДД
13:09
Денис सेवक सेवकाः Динанатх Гопал Дас
In reply to this message
Ну супер ! Дедушки такие очень важны !!! Уважуха !!!
A
13:11
AKATLA
In reply to this message
"Варить в кастрюле" - не такое извращение не делал. У нас был автоклав с отличным регулятором. Прожаривали их отлично! Мы в нем еще и гренки делали и пироги! Так что вот так! 😂🤣
😁
ДД
9
13:23
926
Всем привет. Сегодня вычитал что оказывается плагин к Far Manager умеет читать образы дискет не только от спектрума но и от ВЕКТОР-06Ц
РC
13:37
Роман CHRV
In reply to this message
UniProg еще умеет от МикроаАрт
ДД
14:32
Денис सेवक सेवकाः Динанатх Гопал Дас
In reply to this message
Не знаю на счет спецтрума, векторовские точно читает, пишет, редактирует, и не только дискеты но и образ жесткого диска. Еще такая же приблуда есть под MC линуксовый, тоже проверено, все работает, причем даже на ARM версии линуксов.
NZ
14:44
Nikita Zimin
А что за плагин?
А
14:45
Алексей Шевцов
In reply to this message
👍
NZ
Ю
18:47
Юрий Ларин
Никто не пробовал прошивать РЕ3 программатором TL866ii? Теоретически он может подобные микрухи шить, но там надо правильный метод выбрать...
8 July 2023
ДД
06:03
Денис सेवक सेवकाः Динанатх Гопал Дас
In reply to this message
Программатор для ре3, рт4, рт5 собирается на 3х микросхемах, я даже не стал заморачиваться, слепил программер. А потом стерх приобрел..
Ю
06:08
Юрий Ларин
In reply to this message
Да, я видел несколько схем, даже просто на кнопках есть... Но имея готовый программатор не хочется что-то заморачиваться со сборкой ещё чего-то.
A
18:23
AKATLA
In reply to this message
Ну не всем так везет! :)
9 July 2023
А
15:18
Алексей Шевцов
Приветствую.
На плате Вектор-06Ц астраханского завода на заводе установлена дополнительная микросхема К155ЛА4 на резервное место и выполнена какая-то доработка.
Кто-нибудь случайно не знает назначение этой доработки?
15:19
15:19
Ю
16:10
Юрий Ларин
А
16:20
Алексей Шевцов
Спасибо! Да, это про неё. Только вот не совсем понятно, нужно ли делать эту доработку на астраханской плате или это было решения для партии процессоров, чтобы они не грелись?
Ю
19:47
Юрий Ларин
In reply to this message
Я не разбирался особо, возможно и правда доработка для какой-то партии глючащих Векторов.
EM
21:18
Eugene Merclangrat
Варить в кастрюле - это сильно :) боюсь, как бы мне не пришлось этим заниматься

достал Вектор, он работал, я бейсик загружал с магнитофона...
потом что-то перестал на блк+ввод реагировать, не нашёл я пока, где поломка

может, я где-то напутал, когда кабель для монитора делал, и сам убил какую-то микросхему
ДД
21:25
Денис सेवक सेवकाः Динанатх Гопал Дас
Кабелем для монитора вряд ли... Время с вектором, как обычно, беспощадное и всемогущее...
21:27
Клавиатура емкостная?
EM
22:10
Eugene Merclangrat
In reply to this message
Ооооо да, время со всеми беспощадное

клавиатура, кстати, не емкостная
10 July 2023
A
04:27
AKATLA
In reply to this message
У меня к стати такой же Вектор есть. Спасибо за ссылку!
А
05:59
Алексей Шевцов
Интересно проверить целесообразность такой доработки. Есть ли в ней смысл? Если она просто снижает температуру процессора при его работе, то как влияет на его стабильность работы? Вероятно не все процессоры работали на частоте 3 МГц устойчиво и эта доработка позволяла использовать те процессоры, которые отказывались стабильно работать на такой частоте.
ДД
06:17
Денис सेवक सेवकाः Динанатх Гопал Дас
In reply to this message
Мне попадался тоже такой вектор. Но поэкспериментировать не довелось с этим, стояли другие задачи.
13 July 2023
©™Seга invited ©™Seга
14 July 2023
r
19:07
reddie
Вектор за 6К, правда, слегка убитый и в состоянии "хз работает ли вообще". Объява вчерашняя, уже в резерве =)) https://www.avito.ru/domodedovo/kollektsionirovanie/kompyuter_vektor_sssr_3284412968
Ю
21:46
Юрий Ларин
Года два-три назад полностью исправный и комплектный столько стоил...
15 July 2023
A
06:50
AVG2
In reply to this message
Да, цены скакнули на векторы почему-то. Года два-три назад за 9 тыс покупал с видеомодом, комбодевайсом дисководом.